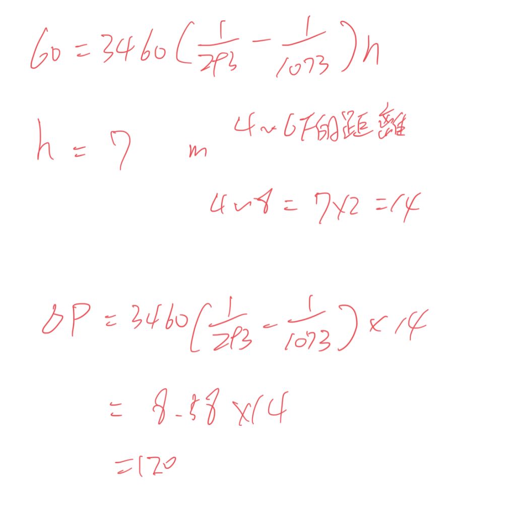
16 某發生火警的大樓,室內外溫度分別為 800℃與 20℃,中性帶位於 4 樓;6 樓的內外壓差為 60 Pa, 若不考慮外部風等其他因素,則 8 樓的內外壓差約為若干 Pa?
(A)80
(B) 100
(C) 120
(D)140
答案:登入後查看
統計: A(873), B(453), C(2806), D(188), E(0) #2008939
統計: A(873), B(453), C(2806), D(188), E(0) #2008939
詳解 (共 10 筆)
#3967069
壓差 P 正比於 距中性帶的高度H
四樓為中性帶; 六樓壓差60 (距中性帶2層樓)
故八樓(距中性帶4層樓) 壓差120
33
0
#4942115

27
0
#4654879
原來是邏輯題...可惡
10
0
#5781643

10
0
#5004133
雖然是邏輯題為但還是算一下安心
9
0