阿摩線上測驗
登入
首頁
>
藥物化學與生藥學
>
94年 - 94-1 高等考試_三級_公職藥師:專業知識測驗(藥物化學與生藥學、藥物分析)#17577
> 試題詳解
試題詳解
試卷:
94年 - 94-1 高等考試_三級_公職藥師:專業知識測驗(藥物化學與生藥學、藥物分析)#17577 |
科目:
藥物化學與生藥學
試卷資訊
試卷名稱:
94年 - 94-1 高等考試_三級_公職藥師:專業知識測驗(藥物化學與生藥學、藥物分析)#17577
年份:
94年
科目:
藥物化學與生藥學
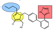
16 降血壓藥物Losartan之pKa值近於6,是由於結構具有下列何種基團?
(A) Carboxylic acid
(B) Imidazole ring
(C) Tetrazole ring
(D) Indole ring
正確答案:
登入後查看