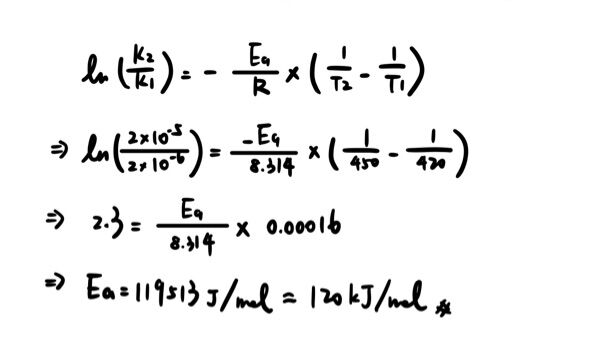
16. CH3NC 分子可進行異構化反應(isomerization): CH3NC(g) → CH3CN(g) 在 420 K 時,其反應速率常數為 2.00×10−6 s−1,溫度增加至 450 K 時, 反應速率常數為 2.00×10−5 s−1,該反應的活化能是多少 kJ/mol? (ln 10=2.3)
(A) 11.2
(B) 45
(C) 120
(D) 160
(A) 11.2
(B) 45
(C) 120
(D) 160
答案:登入後查看
統計: A(52), B(41), C(366), D(21), E(0) #2002434
統計: A(52), B(41), C(366), D(21), E(0) #2002434
詳解 (共 6 筆)
#6034186
補充:
這三個方程式可以一起背。

17
0
#3738493
最佳解寫錯了, 應該是K2/K1, 而且沒有負號吧, 即
謝謝粟子的提醒, 一下沒注意ln(K2/K1)= - ln(K1/K2)
ln (K2/K1) = (Ea/ R )(1/T1 - 1/T2)
ln(10-5/10-6) =( Ea/8.314) (1/420 - 1/450)
Ea=120470j/mol (但其實也不用算這麼準啦,取個近似值就好)
13
3
#4677049
你寫的跟他寫的一樣吧
5
0
#6321367

0
0