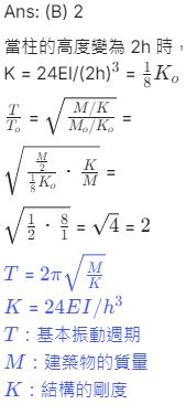
17 在圖中的門形構架,設梁為剛體(EI = ∞),而質量 m 集中於剛體梁上。若柱的 EI 值不變, 但柱高由 h 增為 2 h,質量變成 m/2 時,其結構的振動週期將變為原結構的多少倍?
(A) 1.414
(B)2
(C) 2.828
(D)4
答案:登入後查看
統計: A(62), B(349), C(59), D(165), E(0) #2525756
統計: A(62), B(349), C(59), D(165), E(0) #2525756
詳解 (共 5 筆)
#5218238

再補充 如果是整棟建築當成剪力建築的話 k=24EI/h3
15
0
#6249240

6
0
#5218189
兩端皆不轉動的勁度K應為 12EI/L^3
2
0
#5157594
嗨嗨,如果質量從m→1/2m,長度從h→2h
按照T=2*π*√(m/H)公式來看,m/H應該是1/2除2等於1/4,開根號出來週期是1/2才對喔
(但若如此本題就無解了,想請問其他人如何計算,感謝)
0
2