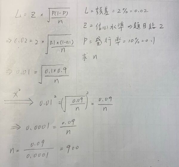
17.在修改疫苗計畫之後,某雞場主人想了解感染傳染性支氣管炎的盛行率比起先前的10%是否有改變,在統計
的信心水準為95%之下,並容許盛行率估計誤差為 ± 2%,若不考慮母群體數,所需抽樣數約為下列何者?(Z0.975≒2)
(A)900
(B)450
(C)200
(D)100
答案:登入後查看
統計: A(588), B(352), C(180), D(79), E(0) #3131134
統計: A(588), B(352), C(180), D(79), E(0) #3131134
