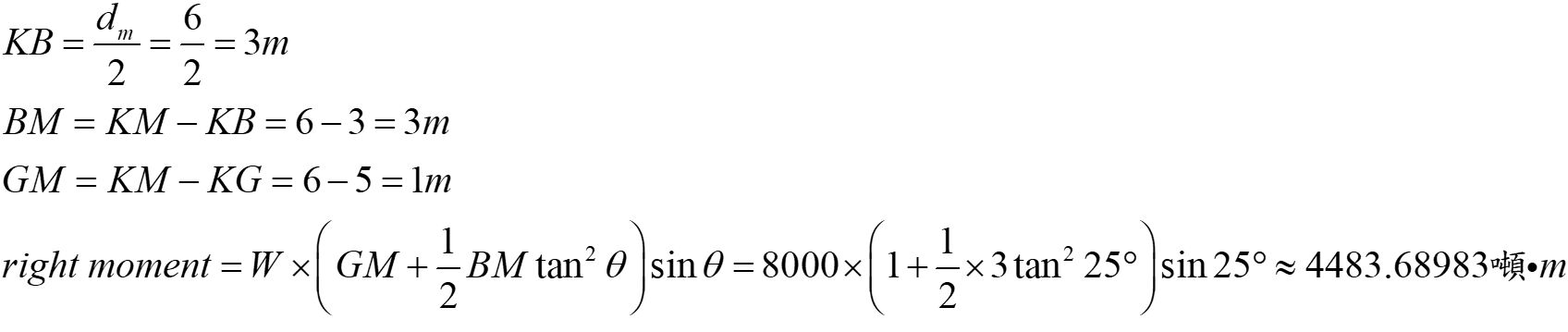
19. 某港內箱形船,排水量為8000噸,平正吃水為6公尺,KM為6公尺,KG為5公尺,試求船舶橫傾 25度時之扶正力矩?
(A) 4080噸-公尺
(B) 4280噸-公尺
(C) 4480噸-公尺
(D) 4680噸-公尺
答案:登入後查看
統計: A(75), B(124), C(449), D(38), E(0) #1776850
統計: A(75), B(124), C(449), D(38), E(0) #1776850


