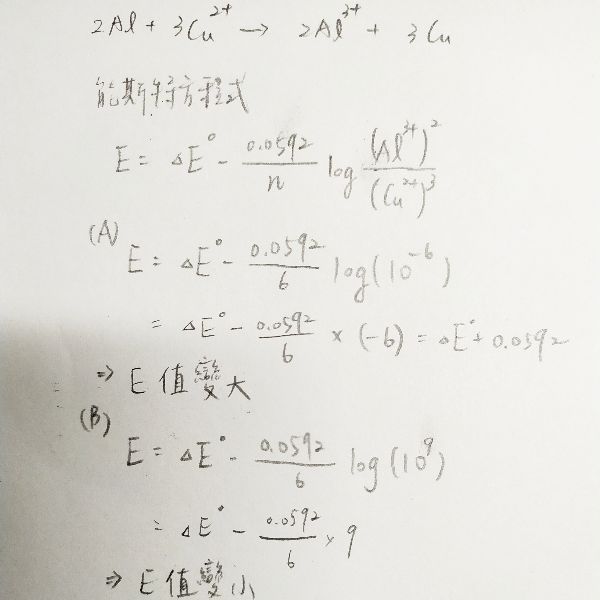
2. 在賈凡尼電池(galvanic cell)中,Al(s) ǀ Al3+(aq, 1.0 M) ǀǀ Cu2+(aq, 1.0 M) ǀ Cu(s)。下面何者會增加
電池的電位(cell potential)?
(A) 只有 I
(B) 只有 II
(C) 只有 III
(D) 只有 I 和 III
答案:登入後查看
統計: A(280), B(64), C(18), D(67), E(0) #1970243
統計: A(280), B(64), C(18), D(67), E(0) #1970243
詳解 (共 6 筆)
#5278383

(C)不變
賈凡尼電池:利用自身氧化還原產生電能
4
3
#5356781
3F你好,我想Q值的表示是這樣喔

1
1
#5356568
雖然不影響這題答案,但提醒一下,Q值的[Al3+]和[Cu2+]的次方數不對喔
0
1