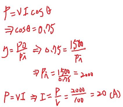
2. 有一部 1.5 kW、100 V之直流電動機,滿載效率 75 %,求其滿載電流為何?
(A) 10 A
(B) 20 A
(C) 25 A
(D) 40 A
答案:登入後查看
統計: A(18), B(182), C(14), D(1), E(0) #3101943
統計: A(18), B(182), C(14), D(1), E(0) #3101943
詳解 (共 1 筆)
#6008595

0
0