阿摩線上測驗
登入
首頁
>
專技◆航海◆貨物作業(概要)
>
113年 - 113-2 航海人員測驗_一等船副:貨物作業#120145
> 試題詳解
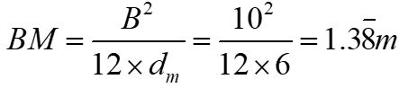
2. 某箱型船之船長為80公尺,船寬10公尺,吃水6公尺,求穩定中心半徑BM為幾公尺?
(A) 1.16
(B) 1.39
(C) 1.66
(D) 1.96
答案:
登入後查看
統計:
A(39), B(356), C(66), D(8), E(0) #3246847
詳解 (共 4 筆)
我愛阿摩
B1 · 2024/06/04
#6119109
(共 1 字,隱藏中)
前往觀看
12
0
164-1榜首
B2 · 2024/08/17
#6193871
(共 1 字,隱藏中)
前往觀看
11
0
DI O
B3 · 2025/06/07
#6463229
B:船寬= 10 m
T:吃水= 6 m
BM= B^2 / 12T
2
0
馬英精
B4 · 2026/02/27
#7305695
0
0
相關試題
3. 對一般雜貨船(General cargo ship)而言,船艙局部強度何處較大? (A) 艙蓋 (B) 上甲板 (C) 艙區中層甲板 (D) 艙底底板
#3246848
4. 穀物裝載過程中,港口水尺限制的意涵為何? (A) 船舶承裝貨物不管任何條件下最大水尺不得超過 (B) 實際載貨量的平均水尺值不得逾越 (C) 該水尺限制表示為標準海水 (D) 該水尺為船中平均吃水值
#3246849
5. 下列何種金屬盤捲貨物不能做為打底貨? (A) 熱延鋼板盤捲 (B) 冷延鋼板盤捲 (C) 厚鋼板 (D) 電纜
#3246850
6. 下列何種類貨物可以和茶葉混裝? (A) 香皂 (B) 蜂蜜 (C) 糖果 (D) 玻璃
#3246851
7. 下列選項中,何者不是通風換氣之目的? (A) 降低艙內露點 (B) 提供新鮮空氣 (C) 增加貨物內部的氧化作用 (D) 排除有害氣體
#3246852
8. 依據IMSBC Code,B類散裝固體貨物和包裝形式危險貨物的隔離表中,係以下列何者代表 隔離術語(Segregation Terms)? (A) 數字1,2,3 (B) 數字1,2,3,4 (C) 數字1,2,3及字母X (D) 數字1,2,3,4及字母X
#3246853
【已刪除】9. 圖示第幾號為貨櫃門壁板? (A) ⑥ (B) ⑦ (C) ⑧ (D) ⑨
#3246854
10. 某船水線位於6M字體上緣時,其吃水應為多少? (A) 6.00M (B) 6.05M (C) 6.10M (D) 6.15M
#3246855
11. 復原力矩(M)等於船體重量(W)與兩力的距離之乘積,其公式如下:M = W ×下列何者? (A) GZ (B) KG (C) KB (D) GB
#3246856
12. 依據IMDG Code對不同危險品之分類,若是屬於氧化物及有機過氧化物的物質應歸於第幾 類? (A) 第3類 (B) 第5類 (C) 第7類 (D) 第9類
#3246857
相關試卷
114年 - 114-4 航海人員測驗_一等船副:貨物作業#135812
2025 年 · #135812
114年 - 114-3 航海人員測驗_一等船副:貨物作業#130652
2025 年 · #130652
114年 - 114-2 航海人員測驗_一等船副:貨物作業#127557
2025 年 · #127557
114年 - 114-1 航海人員測驗_一等船副:貨物作業#125834
2025 年 · #125834
113年 - 113-1 航海人員測驗_二等船副:貨物作業概要#126051
2024 年 · #126051
113年 - 113-4 航海人員測驗_一等船副:貨物作業#124032
2024 年 · #124032
113年 - 113-3 航海人員測驗_一等船副:貨物作業#122453
2024 年 · #122453
113年 - 113-2 航海人員測驗_一等船副:貨物作業#120145
2024 年 · #120145
113年 - 113-1 航海人員測驗_一等船副:貨物作業#118955
2024 年 · #118955
112年 - 112-1 航海人員測驗_二等船副:貨物作業概要#123315
2023 年 · #123315