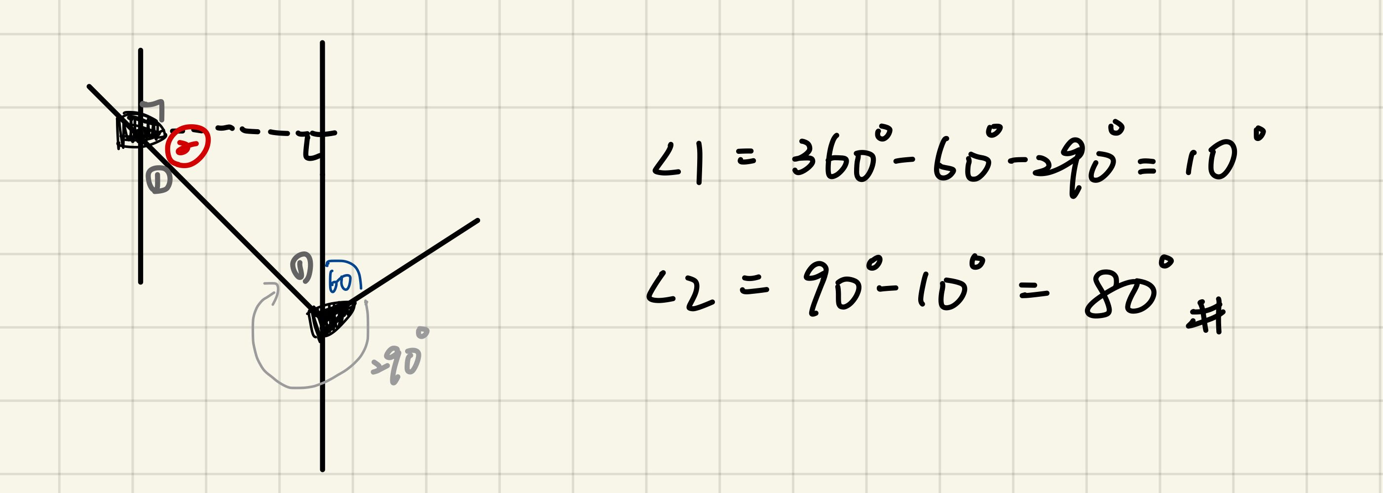
2. 甲船艏向為060°,測乙船的相對方位為290°,乙船首向為090°,求乙船測甲船的相對方位為多少
?
(A) 080°
(B) 110°
(C) 170°
(D) 350°
答案:登入後查看
統計: A(553), B(61), C(80), D(25), E(0) #2883441
統計: A(553), B(61), C(80), D(25), E(0) #2883441
詳解 (共 4 筆)
#6042178

或
3
0
#6181168

1
0