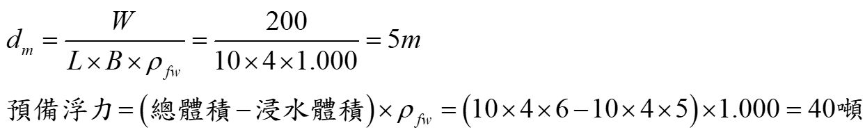
20. 一艘矩形船舶其長度10公尺,寬度4公尺,深度6公尺,排水量為200噸,停在淡水中,求該船吃水及預備浮力為何?
(A) 4.90公尺、44公噸
(B) 5.00公尺、40公噸
(C) 5.00公尺、50公噸
(D) 5.00公尺、44公噸
答案:登入後查看
統計: A(9), B(112), C(14), D(19), E(0) #3753016
統計: A(9), B(112), C(14), D(19), E(0) #3753016
詳解 (共 1 筆)
#7307223

4
0