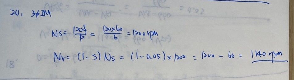
20. 某 6 極 60 Hz 三相感應電動機,當滿載時轉差率為 5 %,則滿載時轉子轉速為多少?
(A) 1140 rpm
(B) 1205 rpm
(C) 1240 rpm
(D) 1440 rpm
答案:登入後查看
統計: A(435), B(14), C(14), D(7), E(0) #2057422
統計: A(435), B(14), C(14), D(7), E(0) #2057422
