阿摩線上測驗
登入
首頁
>
一等船副◆航海學
>
108年 - 108-2 航海人員測驗_一等船副:航海學#78464
> 試題詳解
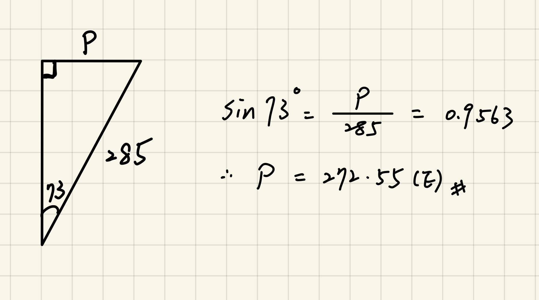
21. 某船自A地依航向073°,採平面航法(Plane Sailing)航行285浬,則請問該船所航駛之橫距為多少 ?
(A) 272.5’W
(B) 272.5’E
(C) 83.3’W
(D) 83.3’E
答案:
登入後查看
統計:
A(28), B(472), C(34), D(85), E(0) #2051301
詳解 (共 2 筆)
164-1榜首
B3 · 2024/08/28
#6200584
(共 1 字,隱藏中)
前往觀看
3
0
kebab
B2 · 2024/02/20
#6031166
3
0
私人筆記 (共 1 筆)
kevin810314
2020/05/07
私人筆記#2118437
未解鎖
說明如下: 平面航法 DL=d*...
(共 94 字,隱藏中)
前往觀看
3
0
相關試題
29. 某船依航向245°,航速15節,依平面航法(Plane Sailing)航行12小時48分鐘後,則請問該船所 航駛之緯度差為多少? (A) 1°10.1’S (B) 1°21.1’S (C) 1°29.5’S (D) 2°54.0’S
#1309288
32. 某船由甲地(Lat 25°10.3'N,λ 121°44.9'E)以航向070°航行246浬,求中緯航法之到達點的經緯度為何? (A) 26°29.4'N;124°53.3'E (B) 26°29.4'N;125°15.4'E (C) 26°34.4'N;124°53.5'E (D) 26°34.4'N;126°01.8'E
#2439438
4. 某船由A地(L37°28.8'N,λ072°55.1'W)以中緯度航法(Middle Latitude Sailing)駛往B地(L31°45.8'N,λ066°31.6'W),則請問該船之真航向為何? (A) 127.4° (B) 137.4° (C) 147.6° (D) 157.6°
#2652728
21. 本船0900位於35°00.0'S、130°20.0'E,航向310°航速15節,航駛6小時,以推算航法描繪 ,求本船1500DR之緯度? (A) 33°47.0'S (B) 34°02.0'S (C) 35°13.0'S (D) 35°58.0'S
#2652745
21. 某船依航向245°,航速15節,依平面航法(Plane Sailing)航行12小時48分鐘後,則請問該 船所航駛之緯度差為多少? (A) 1°10.1'S (B) 1°21.1'S (C) 1°29.5'S (D) 2°54.0'S
#2814706
1. 某船依航向158°,航行48浬,之後轉向253°,航行72浬,最後轉向325°,航行36浬。請以聯向航法(Traverse Sailing)計算該船之實際航向(CMG)為何? (A) 206.8° (B) 243.2° (C) 296.8° (D) 333.2°
#2929084
18. 某船欲由A地(L35°20.0'N,λ141°30.0'W)採混合航法(Composite Sailing)航行至B地(L38°45.0'N,λ122°00.0'E),若限制緯度為45°N,且已知該船於限制緯度上航行之經度差為015°01.5'W,則請問該船之完整航程距離為何? (A) 4465.3浬 (B) 4432.4浬 (C) 4408.6浬 (D) 4368.5 浬
#2999902
5. 某船依航向160°航行72浬,然後轉向060°航行88浬,最後轉向260°航行95浬。請以聯向航法 (Traverse Sailing)推求該船之實際航向(C.M.G.)為何? (A) 100.2° (B) 169.8° (C) 190.2° (D) 259.8°
#3076852
6. 某船由甲地(L20°12.0'N,λ169°40.0'W)以麥氏航法(Mercator Sailing)航行至乙地 (L41°00.0'N,λ174°30.0'E),則請問該船之航程距離為何? (A) 1450浬 (B) 1475浬 (C) 1490浬 (D) 1525浬
#3120254
24. 某船依某航向航行數小時後,已知其緯差38.3' S,橫距24.3浬W,求其所採航向及所航行 距離? (A) 212.4°;32.3浬 (B) 212.4°;45.3浬 (C) 237.6°;20.5浬 (D) 237.6°;71.5浬
#2197404
相關試卷
115年 - 115-1 航海人員測驗_一等船副:航海學#137842
2026 年 · #137842
114年 - 114-4 航海人員測驗_一等船副:航海學#135811
2025 年 · #135811
114年 - 114-3 航海人員測驗_一等船副:航海學#130644
2025 年 · #130644
114年 - 114-2 航海人員測驗_一等船副:航海學#127558
2025 年 · #127558
114年 - 114-1 航海人員測驗_一等船副:航海學#125835
2025 年 · #125835
113年 - 113-4 航海人員測驗_一等船副:航海學#124049
2024 年 · #124049
113年 - 113-3 航海人員測驗_一等船副:航海學#122454
2024 年 · #122454
113年 - 113-2 航海人員測驗_一等船副:航海學#120141
2024 年 · #120141
113年 - 113-1 航海人員測驗_一等船副:航海學#118957
2024 年 · #118957
112年 - 112-4 航海人員測驗_一等船副:航海學#117686
2023 年 · #117686