試卷名稱:92年 - 92年 - 92 大學入學考試中心_指定科目考試:物理#110058
年份:92年
科目:高中指考◆物理
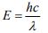
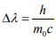
22.一波長為λ的X光與靜止的電子發生碰撞。碰撞後波長為λ'的散射光與動量為p的h電子,運動方向如圖1所示。已知散射光波長與入射光波長的差為
,其中θ、ψ分別為散射後光與電子的動量和x軸的夾角,m0為電子的靜止質量,h為卜朗克常數。如果實驗在θ=θ0的角度測量時,發現如圖2所示,可以量到X光散射強度λ,在波長分別為λ1、λ2處,出現兩個高峰值,則下列答案哪些正確?
(A)入射光的能量為
(B)散射光的動量p'=hλ'
(C)
(D)λ2=λ
(E)本實驗在近代物理史上主要的貢獻是證明光的粒子特性