阿摩線上測驗
登入
首頁
>
一等船副◆航海學
>
113年 - 113-2 航海人員測驗_一等船副:航海學#120141
> 試題詳解
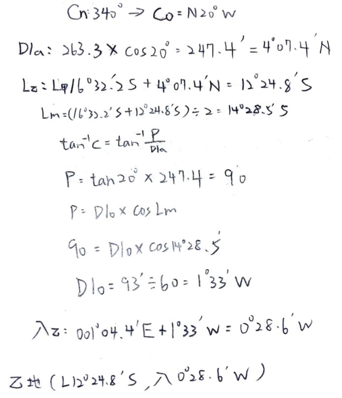
23. 某船由甲地(L16°32.2'S,λ001°04.4'E),航向340°,航行263.3浬,使用中緯航法,求 到達點之經緯度分別為何?
(A) L12°24 .8'S;λ000°28.6'W
(B) L14°28.5'S;λ002°37.4'E
(C) L11°24 .8'S;λ002°29.6'E
(D) L14°28.5'S;λ000°29.6'W
答案:
登入後查看
統計:
A(278), B(70), C(86), D(55), E(0) #3246708
詳解 (共 2 筆)
樂佩
B1 · 2024/06/08
#6124300
(共 1 字,隱藏中)
前往觀看
14
0
Timothy
B2 · 2025/06/04
#6457367
2
0
相關試題
5. 某船依航向160°航行72浬,然後轉向060°航行88浬,最後轉向260°航行95浬。請以聯向航法 (Traverse Sailing)推求該船之實際航向(C.M.G.)為何? (A) 100.2° (B) 169.8° (C) 190.2° (D) 259.8°
#3076852
25. 若某船航向090°航速12 節,0100第一次測燈塔方位060°,半小時後第二次測燈塔方位030°,則 該船正橫通過燈塔時,船與燈塔之距離為多少浬? (A) 3 (B) 4.2 (C) 5.2 (D) 6
#2523235
21. 某船依航向245°,航速15節,依平面航法(Plane Sailing)航行12小時48分鐘後,則請問該 船所航駛之緯度差為多少? (A) 1°10.1'S (B) 1°21.1'S (C) 1°29.5'S (D) 2°54.0'S
#2814706
1. 某船依航向158°,航行48浬,之後轉向253°,航行72浬,最後轉向325°,航行36浬。請以聯向航法(Traverse Sailing)計算該船之實際航向(CMG)為何? (A) 206.8° (B) 243.2° (C) 296.8° (D) 333.2°
#2929084
6. 某船自甲地(L04°16.0'N,λ005°31.0'W)依航向127°,航行550浬後駛抵乙地,則請以麥氏航法 (Mercator Sailing)推求乙地之經度為何? (A) 001°48.6'W (B) 000°46.8'W (C) 000°48.5'E (D) 001°45.6'E
#3033126
3. 本船航向240°航速20節,1300測得一位置線,1318轉向330°,1330再測得一位置線,今欲求1330R Fix,問前移1300位置線至1330時,位置線應推進的實際航向為多少? (A) 206° (B) 274° (C) 297° (D) 312°
#3120251
6. 某船由甲地(L20°12.0'N,λ169°40.0'W)以麥氏航法(Mercator Sailing)航行至乙地 (L41°00.0'N,λ174°30.0'E),則請問該船之航程距離為何? (A) 1450浬 (B) 1475浬 (C) 1490浬 (D) 1525浬
#3120254
4. 某船依航向155°航行116浬,然後轉向217°航行104浬,最後轉向345°航行138浬。請以聯向航法(Traverse Sailing)推求該船之實際航向(C.M.G.)為何? (A) 318.1° (B) 311.9° (C) 228.1° (D) 221.9°
#3209709
24. 若觀測者緯度L,天體赤緯D,則天體過卯酉圈的條件為下列何者? (A) L與D同名,且L>D (B) L與D同名,且L<D (C) L與D異名,且L>D (D) L與D異名,且L<D
#3246709
25. 有關控制雷達詢答機(Radar Transponder)工作的敘述,下列何者正確? (A) 由雷達詢答機(Radar Transponder)控制人員操縱工作 (B) 按雷達詢答機(Radar Transponder)自己的規律定時發射脈衝信號 (C) 受雷達脈衝激發後再發射 (D) 至少有兩部雷達同時激發後才發射
#3246710
相關試卷
115年 - 115-1 航海人員測驗_一等船副:航海學#137842
2026 年 · #137842
114年 - 114-4 航海人員測驗_一等船副:航海學#135811
2025 年 · #135811
114年 - 114-3 航海人員測驗_一等船副:航海學#130644
2025 年 · #130644
114年 - 114-2 航海人員測驗_一等船副:航海學#127558
2025 年 · #127558
114年 - 114-1 航海人員測驗_一等船副:航海學#125835
2025 年 · #125835
113年 - 113-4 航海人員測驗_一等船副:航海學#124049
2024 年 · #124049
113年 - 113-3 航海人員測驗_一等船副:航海學#122454
2024 年 · #122454
113年 - 113-2 航海人員測驗_一等船副:航海學#120141
2024 年 · #120141
113年 - 113-1 航海人員測驗_一等船副:航海學#118957
2024 年 · #118957
112年 - 112-4 航海人員測驗_一等船副:航海學#117686
2023 年 · #117686