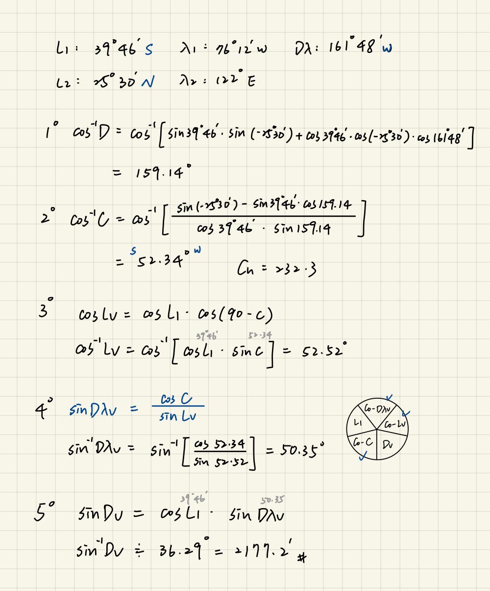
23. 某船自甲地(L39°46.0’S,λ76°12.0’W)沿大圈航行至乙地(L25°30.0’N,λ122°00.0’E),若已知大
圈初航向為232.3°,則請問甲地至大圈頂點間的最近距離為幾浬?
(A) 2145
(B) 2156
(C) 2167
(D) 2177
答案:登入後查看
統計: A(39), B(118), C(172), D(315), E(0) #2523233
統計: A(39), B(118), C(172), D(315), E(0) #2523233
詳解 (共 2 筆)
#6032546

4
0
#6190747

3
0