24 若快樂麵包店的麵包價格由 10 元上升為 20 元時,其收益由 2,500 元增加為 7,000 元,則以中點法為基礎, 快樂麵包店的需求價格彈性絕對值為:
(A)0.5
(B) 0.8
(C)1
(D)1.5
答案:登入後查看
統計: A(372), B(64), C(23), D(90), E(0) #1915051
統計: A(372), B(64), C(23), D(90), E(0) #1915051
詳解 (共 7 筆)
#3276981
P=10, Q=250
P=20, Q=350
(350-250) 1
----------- x ---
(350+250) 2
------------------ = 0.5
(20-10) 1
----------- x ---
(20+10) 2
18
0
#3279262
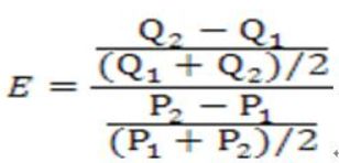
本題用到兩個觀念:
- 支出TE=收入TR=PxQ。
- Ed的中間點(弧彈性)公式:

7
0
#4216494
想請問收益指的是TR還是TR-TC啊
0
0