阿摩線上測驗
登入
首頁
>
一等船副◆航海學
>
106年 - 106-3 航海人員測驗_一等船副:航海學#67491
> 試題詳解
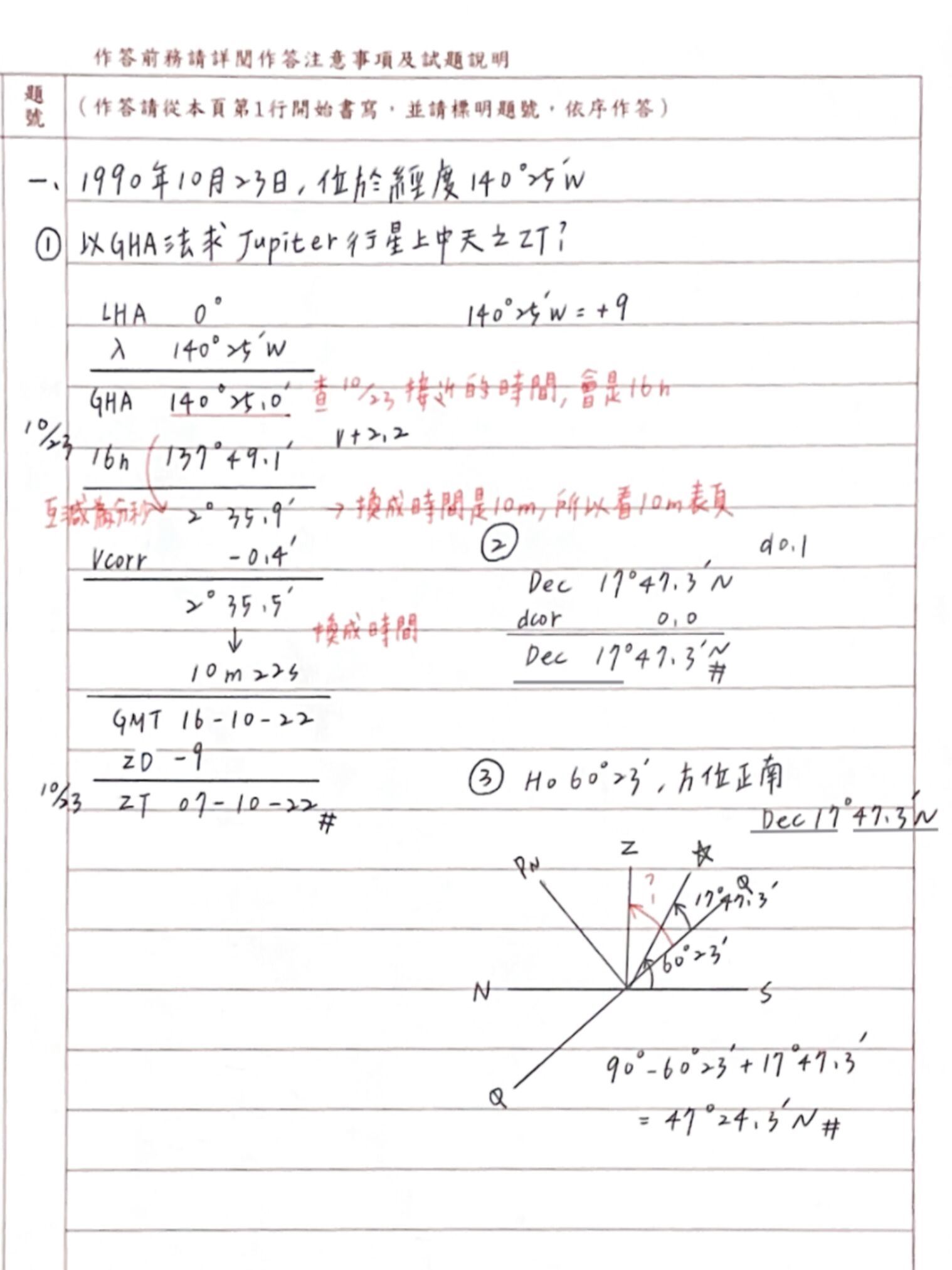
26. 以GHA法求Jupiter行星上中天之ZT?
(A) 06-10-23
(B) 06-53-24
(C) 07-02-02
(D) 07-10-23
答案:
登入後查看
統計:
A(73), B(115), C(86), D(225), E(0) #1734138
詳解 (共 1 筆)
ハチワレ
B2 · 2024/05/28
#6112524
4
0
私人筆記 (共 1 筆)
劉小山
2018/10/08
私人筆記#1043907
未解鎖
GHA法:求出GHA後反推GMT 再推Z...
(共 483 字,隱藏中)
前往觀看
12
0
相關試題
32. 磁羅經座內的縱向磁棒最好的放入調整時機,是磁艏向朝向下列那一方向時? (A) 東或西 (B) 南或北 (C) 東北或西南 (D) 東南或西北
#1734144
33. 圖示航海曆每日頁上的符號,其意義為何? (A) 全日日不落 (B) 全日日不出 (C) 全夜曙光 (D) 全日月不落
#1734145
34. 求Jupiter星的Ho? (A) 33°04.2' (B) 33°37.8' (C) 33°59.8' (D) 34°12.3'
#1734146
35. 承上題,求位置線的截距a? (A) 12' T (B) 12'A (C) 22' T (D) 22'A
#1734147
36. 則時差(Eq.T)為多少? (A) (-)2m-30s (B) (+)2m-30s (C) (-)4m-30s (D) (+)4m-30s
#1734148
37. 承上題,求測天時Jupiter的GHA? (A) 020°06.2' (B) 025°41.3' (C) 035°06.2' (D) 041°35.1'
#1734149
38. 承上題,求計算高度時的假設位置AP? (A) Lat 30°S ; λ 047°06.2'W (B) Lat 30°S ; λ 047°53.8'W (C) Lat 30°S ; λ 048°06.2'W (D) Lat 30°S ; λ 048°53.8'W
#1734150
39. 承上題,求Jupiter的計算方位Zn? (A) 327.9° (B) 212.1° (C) 147.9° (D) 032.1°
#1734151
40. 承上題,求Jupiter的計算高度Hc? (A) 33°05.3' (B) 33°37.8' (C) 33°59.8' (D) 34°04.2
#1734152
1. 有關地球自轉的敘述,下列何者為錯誤? (A) 自轉一週為359° (B) 所需的時間約為23小時56 分鐘 (C) 每小時約為900浬,並由西向東旋轉 (D) 每分鐘速率15 浬
#1734113
相關試卷
115年 - 115-1 航海人員測驗_一等船副:航海學#137842
2026 年 · #137842
114年 - 114-4 航海人員測驗_一等船副:航海學#135811
2025 年 · #135811
114年 - 114-3 航海人員測驗_一等船副:航海學#130644
2025 年 · #130644
114年 - 114-2 航海人員測驗_一等船副:航海學#127558
2025 年 · #127558
114年 - 114-1 航海人員測驗_一等船副:航海學#125835
2025 年 · #125835
113年 - 113-4 航海人員測驗_一等船副:航海學#124049
2024 年 · #124049
113年 - 113-3 航海人員測驗_一等船副:航海學#122454
2024 年 · #122454
113年 - 113-2 航海人員測驗_一等船副:航海學#120141
2024 年 · #120141
113年 - 113-1 航海人員測驗_一等船副:航海學#118957
2024 年 · #118957
112年 - 112-4 航海人員測驗_一等船副:航海學#117686
2023 年 · #117686