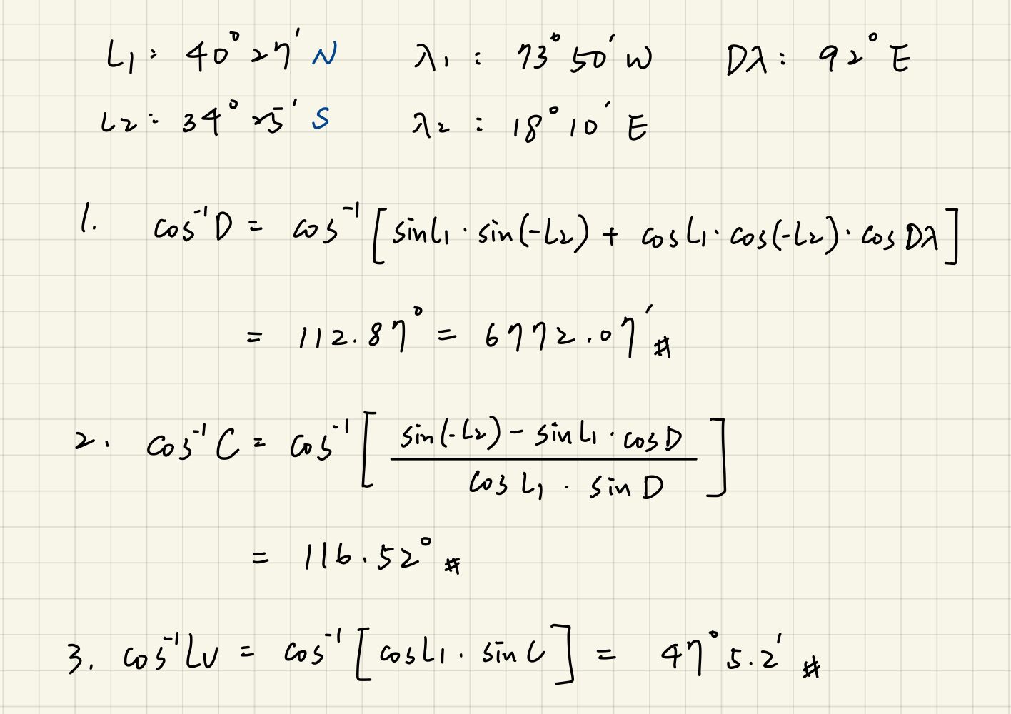
29. 某船舶擬自美國New York(L40°27.0'N, λ073°50.0'W)航行至南非Cape Town(L34°25.0'S,
λ018°10.0'E)。若船長採用大圈航法(great circle sailings)航行,則大圈距離為多少海浬?
(A) 6772.1
(B) 6960.3
(C) 7143.1
(D) 7327.5
答案:登入後查看
統計: A(483), B(40), C(53), D(24), E(0) #3033149
統計: A(483), B(40), C(53), D(24), E(0) #3033149
詳解 (共 6 筆)
#6042045

3
0