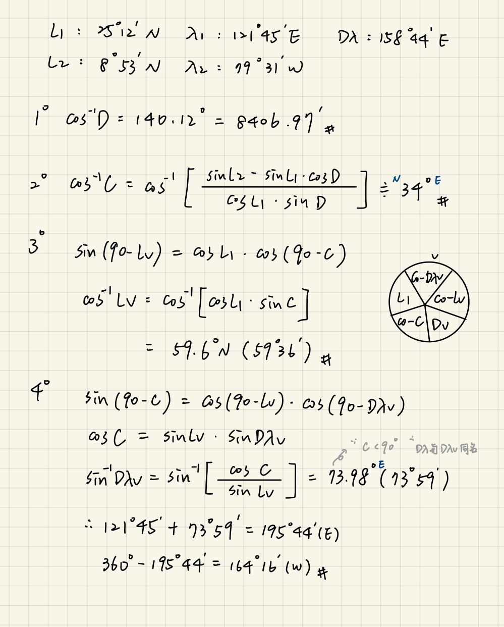
29. 某船舶擬自臺灣Keelung (L25°12.0'N, λ121°45.0'E)航行至巴拿馬Balboa(L08°53.0'N,
λ079°31.0'W)。若船長採用大圈航法(great circle sailings)航行,則大圈距離為多少海浬?
(A) 8224.6
(B) 8407.0
(C) 8567.4
(D) 8742.7
答案:登入後查看
統計: A(40), B(515), C(78), D(22), E(0) #2760373
統計: A(40), B(515), C(78), D(22), E(0) #2760373
