阿摩線上測驗
登入
首頁
>
一等船副◆航海學
>
111年 - 111-3 航海人員測驗_一等船副:航海學#110901
> 試題詳解
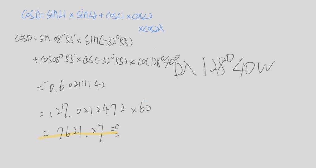
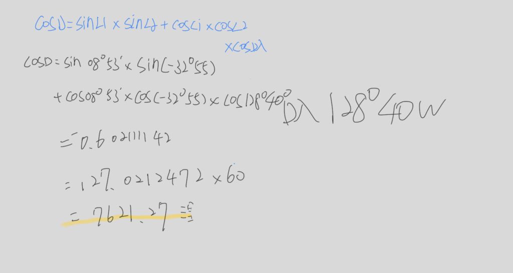
29. 若船長採用大圈航法(great circle sailings)航行,則大圈距離為多少海浬?
(A) 7080.1
(B) 7286.0
(C) 7472.1
(D) 7621.3
答案:
登入後查看
統計:
A(15), B(37), C(65), D(465), E(0) #2999913
詳解 (共 2 筆)
陳Y
B1 · 2022/10/20
#5640740
2
0
陳Y
B2 · 2022/10/20
#5640741
2
0
私人筆記 (共 1 筆)
Juju Chang
2023/03/07
私人筆記#4930315
未解鎖
(共 0 字,隱藏中)
前往觀看
3
0
相關試題
1. 229表求解大圈航法之大圈初航向角及其距離,其過程之說明,何者正確? (A) 兩地經度差作為天體赤緯(Dec.)的查表引數 (B) 到達點之緯度作為當地時角(LHA)的查表引數 (C) 所查得表列高度(Hc)之餘角可換算為大圈距離 (D) 可查得表列方位角(Z)即為大圈距離
#2999885
2. 北半球的冬季星空,Sirius(天狼星)屬於下列哪一個星座? (A) 獅子星座(LEO) (B) 雙子星座(GEMINI) (C) 大犬星座(CANIS MAJOR) (D) 御夫星座(AURIGA)
#2999886
3. 甲船航向為300°,航速為25節,於1020時觀測到一漁船失火,甲船觀測其相對方位100°,失火漁船之航向為150°,試問失火漁船觀測甲船相對方位為? (A) 10° (B) 30° (C) 70° (D) 110°
#2999887
4. 下列何者每月出現二次最小潮差? (A) 小潮 (B) 半日潮 (C) 日潮 (D) 低潮
#2999888
5. 杜普勒測速儀之轉換器組合若有兩個活性原件(Active Element),應如何安裝才可消除船體顛簸所生之頻差? (A) 兩者均向前向下以互補 (B) 兩者均向後向下以互補 (C) 一個向前及向下,另一則向後及向下 (D) 一個向右舷及向下,另一則向左舷及向下
#2999889
6. 下列何者為ECDIS中安全等深線(Safety Contour)的主要用途? (A) 用以標示航道 (B) 用以區隔可航區與不可航區 (C) 用以標示沙洲 (D) 用以標示港區界線
#2999890
7. 何時測太陽方位,以求電羅經誤差最準? (A) 中午 (B) 早上十點 (C) 太陽出沒時 (D) 任何時間均可
#2999891
8. 雷達脈波進行時,大氣積層間氣溫發生變異,致使下層較上層大氣密度變大,此時雷達脈波折射向下彎曲弧度變大,稱為什麼現象? (A) 正常折射 (B) 超折射 (C) 次折射 (D) 導管作用
#2999892
9. 有關水氣凝結物對雷達傳播能量影響之敘述,下列何者錯誤? (A) 雷達傳播能量會被水氣凝結物吸收,也會發生散射現象 (B) 當大氣中水氣含量很高時,雷達探測距離變小 (C) 雷達波長愈長,水氣凝結物對雷達探測距離影響愈大 (D) 傾盆大雨時,3公分雷達波傳播能量會衰減0.1分貝/公里
#2999893
10. 對於日蝕與月蝕產生的原因中,下列敘述何者有誤? (A) 太陽與月球之赤緯幾乎相等且同名,會產生月蝕 (B) 太陽與月球之赤緯幾乎相等且同名,會產生日蝕 (C) 太陽與月球之赤緯幾乎相等且異名,會產生月蝕 (D) 日蝕與月蝕應發生在黃道與白道之交點上
#2999894
相關試卷
115年 - 115-1 航海人員測驗_一等船副:航海學#137842
2026 年 · #137842
114年 - 114-4 航海人員測驗_一等船副:航海學#135811
2025 年 · #135811
114年 - 114-3 航海人員測驗_一等船副:航海學#130644
2025 年 · #130644
114年 - 114-2 航海人員測驗_一等船副:航海學#127558
2025 年 · #127558
114年 - 114-1 航海人員測驗_一等船副:航海學#125835
2025 年 · #125835
113年 - 113-4 航海人員測驗_一等船副:航海學#124049
2024 年 · #124049
113年 - 113-3 航海人員測驗_一等船副:航海學#122454
2024 年 · #122454
113年 - 113-2 航海人員測驗_一等船副:航海學#120141
2024 年 · #120141
113年 - 113-1 航海人員測驗_一等船副:航海學#118957
2024 年 · #118957
112年 - 112-4 航海人員測驗_一等船副:航海學#117686
2023 年 · #117686