阿摩線上測驗
登入
首頁
>
船舶操作與船上人員管理(概要)
>
103年 - 103年交通部第1次航海人員測驗 一等船副 船舶操作與船上人員管理#17156
> 試題詳解
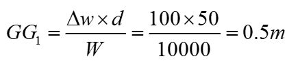
3.船舶排水量為10000噸,其上有重100噸之物,移動50公尺時,試求此船舶重心之移動量為多少公尺?
(A)0.2
(B)0.4
(C)0.5
(D)0.8
答案:
登入後查看
統計:
A(19), B(6), C(162), D(0), E(0) #625001
詳解 (共 2 筆)
林哲民
B1 · 2018/07/19
#2926648
GG'=w*d/disp.=100*50...
(共 32 字,隱藏中)
前往觀看
12
0
馬英精
B2 · 2026/02/18
#7301053
0
0
相關試題
1.某船輕載排水量為1200噸,初重心高度KG位於龍骨上方5公尺處,今在該船下大艙裝載3000噸之貨物,其KG為7公尺,又在二層艙裝1000噸之貨物,其KG為12公尺。若裝完貨之KM為8.5公尺,則裝完貨之GM為多少公尺? (A)0.5 (B)0.7 (C)0.8 (D)1.0
#624999
2.當波浪周期與船舶橫搖周期恰好相同時,此狀態為何? (A)自然橫搖 (B)強制橫搖 (C)同步橫搖 (D)規則橫搖
#625000
4.當船寬增大而其它因素不變時,船舶靜穩度曲線圖中何者發生改變?
#625002
5.船舶之每公分俯仰差力矩數值可透過MTC=(W×GM)/100L之計算式求得,式中W代表排水量,GM代表縱向定傾中心高,則L之意義為何? (A)垂標間距長(LBP) (B)全長(LOA) (C)垂標間距長之半 (D)全長之半
#625003
6.滿載之巴拿馬極限型(Panamax)船舶,在通過巴拿馬運河時,船舶吃水應調整成何種狀態航行? (A)無舯拱 (B)無舯垂 (C)無穩度 (D)無俯仰
#625004
7.船舶裝卸貨而發生吃水及艏艉吃水差之變化,縱向俯仰之轉軸是下列何者? (A)通過浮心之橫軸 (B)通過重心之橫軸 (C)通過浮面中心之橫軸 (D)通過穩心之橫軸
#625005
8.每公分吃水噸數曲線之用途,主要是供計算船舶的下列何者數值? (A)俯仰差 (B)重心高度 (C)定傾高度 (D)平均吃水及裝載量之變化
#625006
9.錨鏈強度估算公式為T=548.8d2,其中;T表示錨鏈的斷裂強度;d表示下列何者? (A)無擋鏈環的內徑 (B)無擋鏈環的外徑 (C)鏈環撐擋直徑 (D)鏈環的本體直徑
#625007
10.船上纜繩的規格一般是以何者來衡量? (A)最小直徑 (B)最小周長 (C)最小半徑 (D)直徑或周長
#625008
11.所謂主操舵裝置是指何種情況下,駕駛船舶必須的設備? (A)正常航行情況下 (B)避讓應急情況下 (C)過狹窄水道 (D)進出港時
#625009
相關試卷
115年 - 115-1 航海人員測驗_一等船副:船舶操作與船上人員管理#137839
2026 年 · #137839
114年 - 114-4 航海人員測驗_一等船副:船舶操作與船上人員管理#135846
2025 年 · #135846
114年 - 114 公務升官等考試_薦任_海巡技術:船舶操作與船上人員管理#133186
2025 年 · #133186
114年 - 114-3 航海人員測驗:一等船副_船舶操作與船上人員管理#130643
2025 年 · #130643
114年 - 114 海岸巡防特種考試_四等_海洋巡護科航海組:船舶操作與船上人員管理概要#130197
2025 年 · #130197
114年 - 114 海岸巡防特種考試_三等_海洋巡護科航海組:船舶操作與船上人員管理#130191
2025 年 · #130191
114年 - 114 一般警察特種考試_四等_水上警察人員航海組:船舶操作與船上人員管理概要#127659
2025 年 · #127659
114年 - 114-2 航海人員測驗_一等船副:船舶操作與船上人員管理#127556
2025 年 · #127556
114年 - 114-1 航海人員測驗_一等船副:船舶操作與船上人員管理#125836
2025 年 · #125836
113年 - 113-1 航海人員測驗_二等船副:船舶操作與船上人員管理概要#126034
2024 年 · #126034