阿摩線上測驗 登入

試題詳解

試卷:98年 - 98 大學入學考試中心_指定科目考試:數學甲#114988 | 科目:高中指考◆數學甲

試卷資訊

試卷名稱:98年 - 98 大學入學考試中心_指定科目考試:數學甲#114988

年份:98年

科目:高中指考◆數學甲

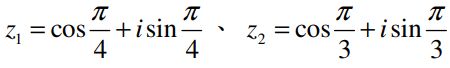
3.複數與它們的乘積z1z2在複數平面上對應的點分別為P、Q與R。則∠QPR等於下列哪一個選項?
(A)
(B)
(C)
(D)
(E)

正確答案:登入後查看

詳解 (共 1 筆)

推薦的詳解#7058497
未解鎖
1. 題目解析 本題提到的複數 \( ...
(共 1224 字,隱藏中)
前往觀看
0
0

私人筆記 (共 1 筆)

私人筆記#5243695
未解鎖


(共 0 字,隱藏中)
前往觀看
1
0