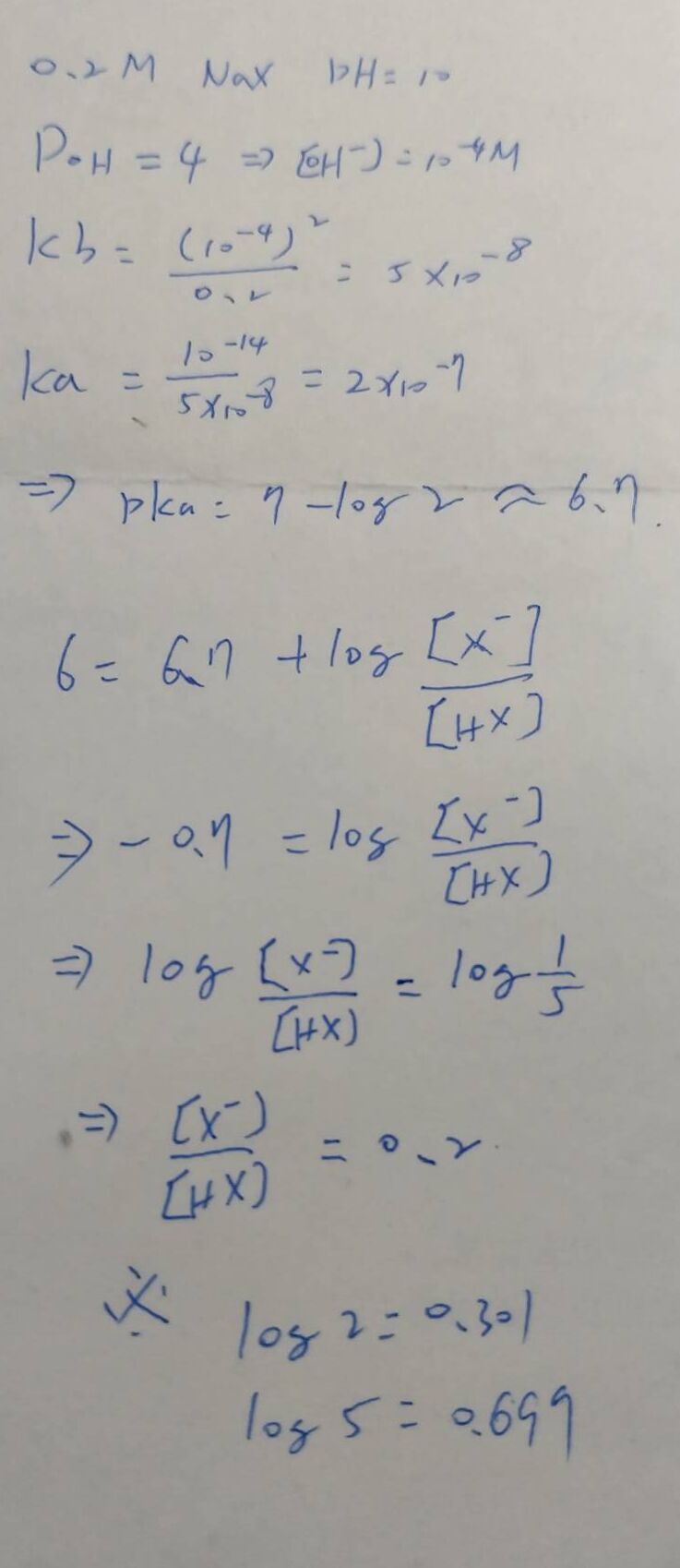
3. 有一單質子弱酸(HX)的鈉鹽NaX,已知0.20 M的NaX溶液之pH值為10。現擬以HX和NaX混
合配製pH值為6.0的緩衝溶液,則此緩衝溶液中
的比值最接近下列哪一數字?
(A)0.20
(B)0.50
(C)1.0
(D)2.0
(E)5.0。
答案:登入後查看
統計: A(1), B(1), C(0), D(0), E(0) #3240265
統計: A(1), B(1), C(0), D(0), E(0) #3240265
詳解 (共 1 筆)
#6151987

0
0