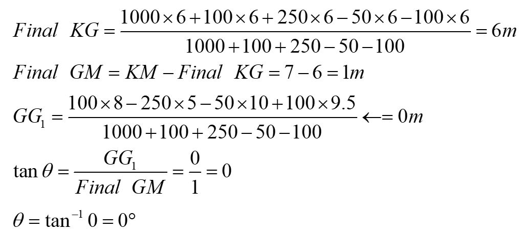
3. 某港內船舶平正地漂浮於海水中,排水量1000噸,KM=7公尺,KG=6公尺,若裝卸載下列貨物後,求船舶最後橫傾角度?【裝載100噸,KG=6公尺,其重心在中心線左邊8公尺;裝載250噸,KG=6公尺,其重心在中心線右邊5公尺;卸載50噸,KG=6公尺,其重心在中心線左邊10公尺;卸載100噸,KG=6公尺,其重心在中心線右邊9.5公尺。】
(A) 10°(向左橫傾)
(B) 5°(向左橫傾)
(C) 0°
(D) 5°(向右橫傾)
答案:登入後查看
統計: A(18), B(72), C(260), D(27), E(0) #3306225
統計: A(18), B(72), C(260), D(27), E(0) #3306225
