阿摩線上測驗
登入
首頁
>
一等船副◆航海學
>
110年 - 110-3 航海人員測驗_一等船副:航海學#100563
> 試題詳解
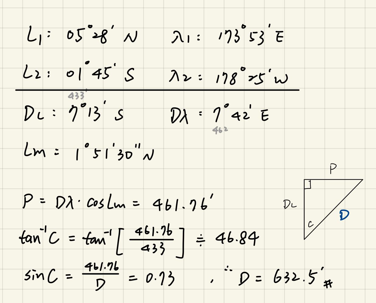
3. 某船欲由A地(L05°28.0'N,λ173°53.0'E)以中緯航法(Middle Latitude Sailing)航行至B地 (L01°45.0'S,λ178°25.0'W),則請問該船之航程距離為何?
(A) 644浬
(B) 633浬
(C) 622浬
(D) 611浬
答案:
登入後查看
統計:
A(59), B(436), C(59), D(38), E(0) #2760347
詳解 (共 3 筆)
林稚耕
B1 · 2021/09/24
#5109871
中緯航法公式:P=Dλ*cosLm 平...
(共 180 字,隱藏中)
前往觀看
11
0
kebab
B2 · 2024/02/23
#6033370
5
0
164-1榜首
B3 · 2024/08/05
#6185449
1
0
相關試題
1. 所謂的航海行星,係指金星、木星、火星跟哪一顆星? (A) 水星 (B) 天王星 (C) 月球 (D) 土星
#2760345
2. 東經5度為何時區? (A) +5時區 (B) -5時區 (C) 零時區 (D) +1時區
#2760346
4. 向量式電子海圖之圖例資料中,浮標、燈塔由何種圖形表示? (A) 點 (B) 線 (C) 面 (D) 複合空間物件
#2760348
5. 甲船航向135°,以速度20節前往補給漁船,於1700時甲船觀測漁船發現在其左舷70°,漁船 航向080°,試問該漁船觀測甲船之相對方位為? (A) 075° (B) 165° (C) 275° (D) 345°
#2760349
6. IALA基點標誌中,關於南方位標的頂標,下列敘述何者正確? (A) 由上下二個黑色圓錐形組成,圓錐形尖頂均朝上 (B) 由上下二個黑色圓錐形組成,圓錐形尖頂均朝下 (C) 由上下二個黑色圓錐形組成,上錐尖頂朝上,下錐尖頂朝下 (D) 由上下二個黑色圓錐形組成,上錐尖頂朝下,下錐尖頂朝上
#2760350
7. 由天赤道沿天體時圈向北或向南,量至該天體之弧度量稱為什麼? (A) 緯度 (B) 赤緯 (C) 赤經 (D) 極距
#2760351
8. 已知天體之GHA315°,當地經度125°E,求子午角t? (A) 080°E (B) 080°W (C) 170°E (D) 170°W
#2760352
9. 球面上方向與各子午線交角相等者為? (A) 方位線 (B) 航線 (C) 恒向線 (D) 子午線
#2760353
10. 自動舵之動力如為油壓式運作時,其檢查項目不包括那一項? (A) 油量與油污 (B) 壓力與漏油 (C) 油壓幫浦之轉動情況 (D) 油溫
#2760354
11. 下列何者不是ECDIS必須提供的航路調整功能? (A) 新增航路點 (B) 刪除航路點 (C) 複製航路點 (D) 變更航路點順序
#2760355
相關試卷
115年 - 115-1 航海人員測驗_一等船副:航海學#137842
2026 年 · #137842
114年 - 114-4 航海人員測驗_一等船副:航海學#135811
2025 年 · #135811
114年 - 114-3 航海人員測驗_一等船副:航海學#130644
2025 年 · #130644
114年 - 114-2 航海人員測驗_一等船副:航海學#127558
2025 年 · #127558
114年 - 114-1 航海人員測驗_一等船副:航海學#125835
2025 年 · #125835
113年 - 113-4 航海人員測驗_一等船副:航海學#124049
2024 年 · #124049
113年 - 113-3 航海人員測驗_一等船副:航海學#122454
2024 年 · #122454
113年 - 113-2 航海人員測驗_一等船副:航海學#120141
2024 年 · #120141
113年 - 113-1 航海人員測驗_一等船副:航海學#118957
2024 年 · #118957
112年 - 112-4 航海人員測驗_一等船副:航海學#117686
2023 年 · #117686