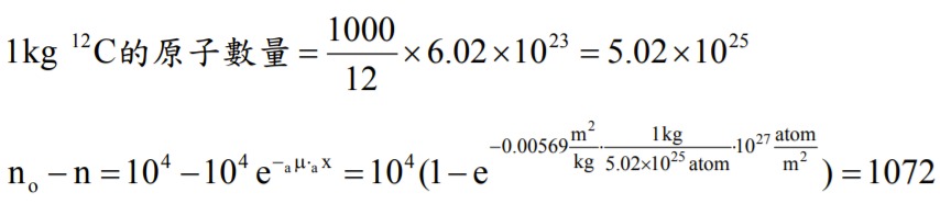
3. 能量 1.25 MeV 的光子數量 104 個,入射一厚度為 1027
atom/m2 的碳板,已知 1.25 MeV
光子對碳的質量衰減係數為 0.00569 m2
/kg,請計算與此碳板發生作用的光子數量?
(A) 1072
(B) 3542
(C) 6458
(D) 8928
答案:登入後查看
統計: A(90), B(34), C(23), D(35), E(0) #1897899
統計: A(90), B(34), C(23), D(35), E(0) #1897899
詳解 (共 1 筆)
#5182063

2
1