30 1.5 公釐厚之鋼浪板若欲達到屋頂熱傳透率低於 1.0 W/m2.K之隔熱水準,其背襯PU板厚度應至少為多少公分?(外氣膜熱阻 0.043 m2.K/W、內氣膜熱阻 0.143 m2.K/W、鋼浪板熱阻可視為零、PU板之熱導係數k = 0.028 W/m.K)
(A)1.0
(B)1.5
(C)2.0
(D)2.5
答案:登入後查看
統計: A(32), B(93), C(76), D(171), E(0) #908300
統計: A(32), B(93), C(76), D(171), E(0) #908300
詳解 (共 5 筆)
#1495547
1
4
#7024234
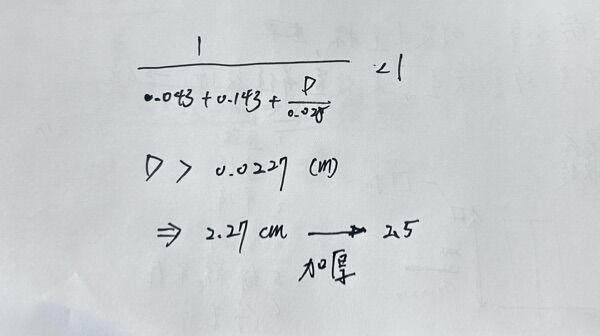
其實很簡單,首先要記的公式只有兩個,且多寫幾次就記得起來了歐:
ㅤㅤ
(1) R熱阻(m2*K/W) = d厚度 / K熱傳導係數(W/m*K)
R=d/K
(2) Ui 熱傳透率(W/m2*K) = 1/R 熱阻(m2*K/W)
U=1/R
ㅤㅤ
本題計算說明:
ㅤㅤ
題目要求Ut 總熱傳透率< 1;而根據式(2),也就是說Rt 總熱阻要>1
ㅤㅤ
而Rt 總熱阻= 鋼浪板熱阻+外氣模熱阻+內氣模熱阻+PU板熱阻
ㅤㅤ
又鋼浪板熱阻=0(題目說的),不用算它。
又PU板熱阻(式1)= d厚度(我們要求的) / K熱傳導係數(W/m*K)(題目給0.028)
ㅤㅤ
所以:
Rt=0+0.043+0.143 +( d / 0.028 ) >1
ㅤㅤ
= d / 0.028 > 0.814
ㅤㅤ
= d > 0.0228m=2.28cm --- 答案(D) 2.5cm---ok
ㅤㅤ
簡單吧,這種題目終於不用跳過了呀!
0
0
#6864504

0
0