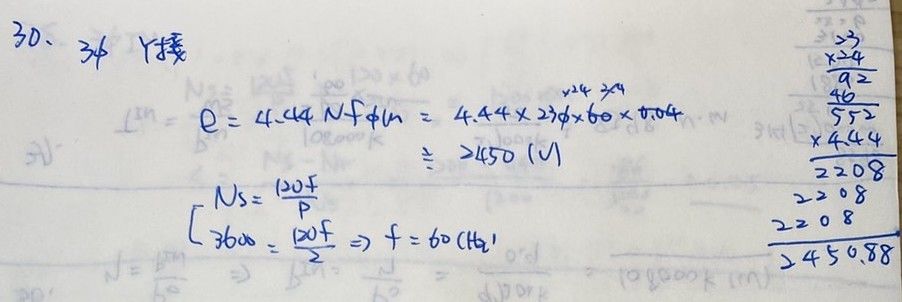
30 Y 接 2 極三相同步發電機,每相有 230 匝,轉速為 3600rpm,每相最大磁通為 0.04Wb ,
則相感應電壓有效值為多少? ( E = 4.44 fNΦm )
(A) 2350 V
(B) 2450 V
(C) 2550 V
(D) 2650 V
答案:登入後查看
統計: A(16), B(482), C(20), D(12), E(0) #1917510
統計: A(16), B(482), C(20), D(12), E(0) #1917510
詳解 (共 4 筆)
#5182496

3
0