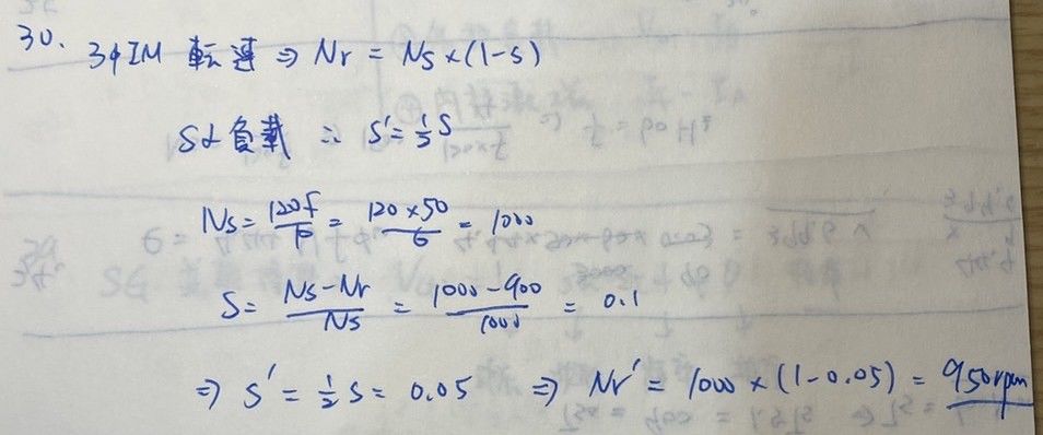
30. 一台6極50 Hz之三相感應電動機,滿載運轉時轉速為900 rpm,若負載減為一半,則轉速為多少?
(A) 850 rpm
(B) 900 rpm
(C) 950 rpm
(D) 1000 rpm
答案:登入後查看
統計: A(21), B(80), C(337), D(21), E(0) #1917560
統計: A(21), B(80), C(337), D(21), E(0) #1917560
詳解 (共 3 筆)
#3297860
120*50/6=1000rpm---->Ns
1000-900/1000=0.1---->S
1000*(1-0.05S)=950---->半載轉差率轉速
5
2
#5190208

2
1