31 一 8 極電機,電樞旋轉角速度為 50 π 弳度/秒,則導體經過一極所需時間約為:
(A)1/100 秒
(B) 1/125 秒
(C) 1/150 秒
(D) 1/200 秒
答案:登入後查看
統計: A(41), B(45), C(18), D(331), E(0) #816623
統計: A(41), B(45), C(18), D(331), E(0) #816623
詳解 (共 5 筆)
#1064360
導體經過每一極之所需時間

6
0
#4349560
W=2π*n/60=2πf (f=n/60, n=rpm)
50π=2πf
f=25
T=1/25(一圈的時間)
T=1/25x8=1/200(一極的時間)
3
0
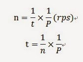
#3869743
t=1/sp。 4極代表 1極1/4(轉or周)
S=每秒轉速)(rps)
(n=rpm)
W=2排*n/60
1轉=8極
1轉=1/25秒
8極=1/25秒
1極=1/200秒
f=25 25轉/秒
1秒25轉 1/8轉=?秒
1
1
#1374470
選項跑掉了
0
0