阿摩線上測驗
登入
首頁
>
一等船副◆航海學
>
111年 - 111-2 航海人員測驗_一等船副:航海學#108157
> 試題詳解
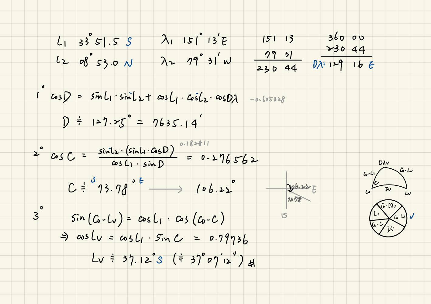
31. 承上題,該大圈航路的頂點緯度為何?
(A) 37°04.5'S
(B) 38°10.4'S
(C) 39°00.2'S
(D) 39°22.1'S
答案:
登入後查看
統計:
A(442), B(60), C(73), D(29), E(0) #2929114
詳解 (共 2 筆)
Juju Chang
B2 · 2023/03/08
#5740320
(共 1 字,隱藏中)
前往觀看
10
0
kebab
B3 · 2023/12/08
#5981873
1
0
私人筆記 (共 1 筆)
Lockwood
2022/07/02
私人筆記#4338068
未解鎖
(共 0 字,隱藏中)
前往觀看
9
0
相關試題
1. 某船依航向158°,航行48浬,之後轉向253°,航行72浬,最後轉向325°,航行36浬。請以聯向航法(Traverse Sailing)計算該船之實際航向(CMG)為何? (A) 206.8° (B) 243.2° (C) 296.8° (D) 333.2°
#2929084
2. 某星體赤緯68°51'S,若中天時,得知觀測高度為11°50',方位正南。觀測者在北緯或南緯時,其 緯度分別為何? (A) 32°59.0'N或09°19.0'S (B) 78°10.0'N或21°09.0'S (C) 09°19.0'N或32°59.0'S (D) 21°09.0'N或78°10.0'S
#2929085
3. 有關拱極星(circumpolar)的敘述,下列何者錯誤? (A) 日行圈平行於天赤道平面 (B) 日行圈恆在天水平面之下的天體 (C) 日行圈係由東向西等速率運動 (D) 該天體有永不沒的現象
#2929086
4. 於麥氏海圖上量取距離的正確方法為何? (A) 由緯度比例尺量測距離 (B) 由經度比例尺量測距離 (C) 由海圖左下角開始量測 (D) 由海圖右下角開始量測
#2929087
5. 航海員在夜間進行航標辨識時,請問下圖為何種燈質?(每分鐘重複率80-159閃) (A) 間斷極快閃光IVQ (B) 間斷快閃光IQ (C) 間斷超快閃光IUQ (D) 定閃光FFl
#2929088
6. 在雷達測繪時,吾人畫出WOA相對運動三角形,發現WOA三點成一直線,且W點位於中間偏近O點,則下列何者正確? (A) 本船與目標船逆向航行,目標船速度較快 (B) 本船與目標船同向航行,目標船速度較快 (C) 本船與目標船逆向航行,目標船速度較慢 (D) 本船與目標船同向航行,目標船速度較慢
#2929089
7. GPS的誤差有電離層延遲誤差與對流層延遲誤差,下列敘述何者正確? (A) 電離層延遲與電波頻率的平方成正比,對流層延遲與電波頻率正相關 (B) 電離層延遲與電波頻率的平方成反比,對流層延遲與電波頻率正相關 (C) 電離層延遲與電波頻率的平方成正比,對流層延遲與電波頻率無關 (D) 電離層延遲與電波頻率的平方成反比,對流層延遲與電波頻率無關
#2929090
8. 當船在東經,若向東航行時,每跨越一個時區,船上應如何調整時間? (A) 撥快一小時 (B) 撥慢一小時 (C) 減少一天 (D) 增加一天
#2929091
9. 航海曆假設月球每小時格林威治時角(GHA)的基本變率(Standard Reference Rates)為下列何者? (A) 14°19.0' (B) 15°00.0' (C) 15°02.5' (D) 15°19.0'
#2929092
10. 南半球的冬季星空,著名的天蠍星座(SCORPIUS)中,有一顆紅色的航海主要用星,其係指 下列何者? (A) Altair(牛郎) (B) Arcturus(大角) (C) Antares(心宿二) (D) Alpheratz(壁宿二)
#2929093
相關試卷
115年 - 115-1 航海人員測驗_一等船副:航海學#137842
2026 年 · #137842
114年 - 114-4 航海人員測驗_一等船副:航海學#135811
2025 年 · #135811
114年 - 114-3 航海人員測驗_一等船副:航海學#130644
2025 年 · #130644
114年 - 114-2 航海人員測驗_一等船副:航海學#127558
2025 年 · #127558
114年 - 114-1 航海人員測驗_一等船副:航海學#125835
2025 年 · #125835
113年 - 113-4 航海人員測驗_一等船副:航海學#124049
2024 年 · #124049
113年 - 113-3 航海人員測驗_一等船副:航海學#122454
2024 年 · #122454
113年 - 113-2 航海人員測驗_一等船副:航海學#120141
2024 年 · #120141
113年 - 113-1 航海人員測驗_一等船副:航海學#118957
2024 年 · #118957
112年 - 112-4 航海人員測驗_一等船副:航海學#117686
2023 年 · #117686