阿摩線上測驗
登入
首頁
>
一等船副◆航海學
>
108年 - 108-4 航海人員測驗_一等船副:航海學#83250
> 試題詳解
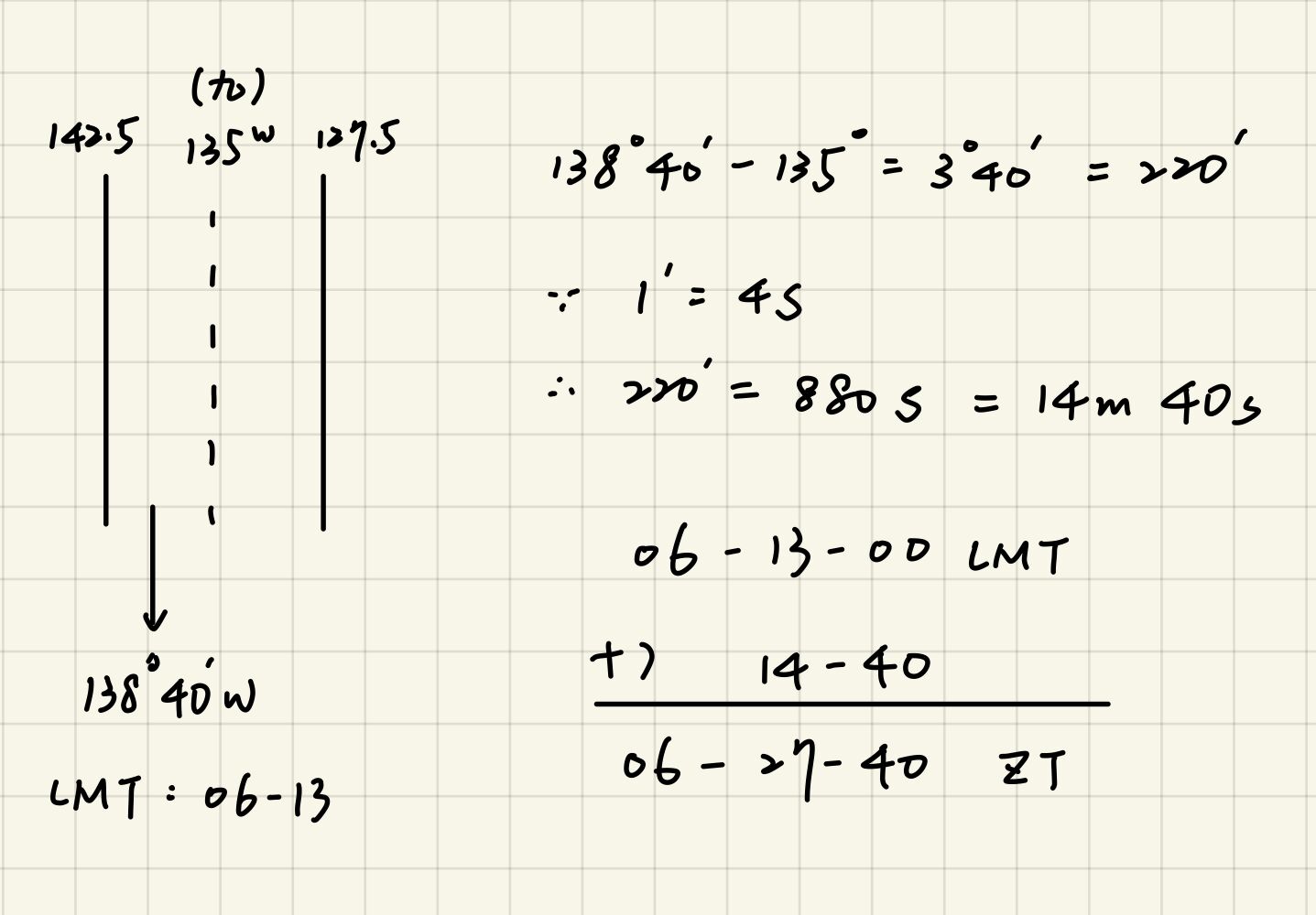
32. 某船於經度138°40.0′W,由航海曆求出日出的LMT 0613,則日出的ZT為何?
(A) 0558
(B) 0600
(C) 0625
(D) 0628
答案:
登入後查看
統計:
A(127), B(71), C(119), D(406), E(0) #2197412
詳解 (共 4 筆)
李恩澤
B1 · 2020/05/03
#3927483
138/15=3度40, 1度=4分鐘. ~ 14分40秒. 0613+14分40秒=0627分40秒.
11
1
書堯
B4 · 2020/11/05
#4360444
138度40分除15度 餘3度40分
4
5
kebab
B6 · 2024/03/09
#6042207
3
0
164-1榜首
B7 · 2024/08/27
#6200239
(共 1 字,隱藏中)
前往觀看
2
0
相關試題
1. 天文航海學中由兩不同的觀測點觀看同一目標,則此兩視線的角度稱為什麼? (A) 指標差 (B) 視差 (C) 仰角 (D) 觀測角
#2197381
2. 下列何者為赤經(Right Ascension) 之正確定義? (A) 由春分點沿赤道向東量至天體之時圈 (B) 由春分點沿赤道向西量至天體之時圈 (C) 由春分點沿赤道向南量至天體之時圈 (D) 由春分點沿赤道向北量至天體之時圈
#2197382
3. 在本船的同一方位上有兩個目標,本船雷達脈波長度(Pulse Length)為0.3μsec.,如要在雷達幕上分開顯示這兩個目標,不考慮光點直徑的影響,則這兩個目標至少須間隔多少公尺? (A)15 (B)30 (C)45 (D)60
#2197383
4. 軌道傾角(Orbit inclination)為衛星軌道面與地球赤道面之夾角,若0°<傾角<90°,則下列敘 述何者正確? (A) 衛星之運行方向與地球自轉方向一致 (B) 衛星之運行方向與地球自轉方向相反 (C) 為繞極軌道 (D) 為繞地球赤道面軌道
#2197384
5. GPS系統之時間計數單位為「Z秒」(Z second),其時間長度為多少秒? (A) 0.5 (B) 1.0 (C) 1.5 (D) 2.0
#2197385
6. 試問海圖比例尺為1:5,000,000與1:150,000,二者比例相差幾倍? (A) 30 (B) 33 (C) 36 (D) 39
#2197386
7. 有關1.可變距離標識(VRM),2.固定距離圈,3.電子方位線(EBL),4.機械方位線,四者的準 確比較,下列敘述何者正確? (A) 1比2準確;3比4準確 (B) 1比2準確;4比3準確 (C) 2比1準確;3比4準確 (D) 2比1準確;4比3準確
#2197387
8. 於某時間已知春分點之GHA為20°,某天體之SHA為260°,當地經度為028°E,求天體於該時間之子午角? (A) 48°E (B) 52°E (C) 48°W (D) 52°W
#2197388
9. 下列參考參數中,對於ECDIS的資訊產生影響,下列何者有誤? (A) 電子海圖的深度基準 (B) 電子海圖的高度基準 (C) 海圖本身所使用的大地基準 (D) 雷達掃描距程
#2197389
10. 航海曆中對於太陽位置之標示,係採用下列何者? (A) GHA& Dec (B) GHA& SHA (C) GHA Aries & SHA (D) SHA& Dec
#2197390
相關試卷
115年 - 115-1 航海人員測驗_一等船副:航海學#137842
2026 年 · #137842
114年 - 114-4 航海人員測驗_一等船副:航海學#135811
2025 年 · #135811
114年 - 114-3 航海人員測驗_一等船副:航海學#130644
2025 年 · #130644
114年 - 114-2 航海人員測驗_一等船副:航海學#127558
2025 年 · #127558
114年 - 114-1 航海人員測驗_一等船副:航海學#125835
2025 年 · #125835
113年 - 113-4 航海人員測驗_一等船副:航海學#124049
2024 年 · #124049
113年 - 113-3 航海人員測驗_一等船副:航海學#122454
2024 年 · #122454
113年 - 113-2 航海人員測驗_一等船副:航海學#120141
2024 年 · #120141
113年 - 113-1 航海人員測驗_一等船副:航海學#118957
2024 年 · #118957
112年 - 112-4 航海人員測驗_一等船副:航海學#117686
2023 年 · #117686