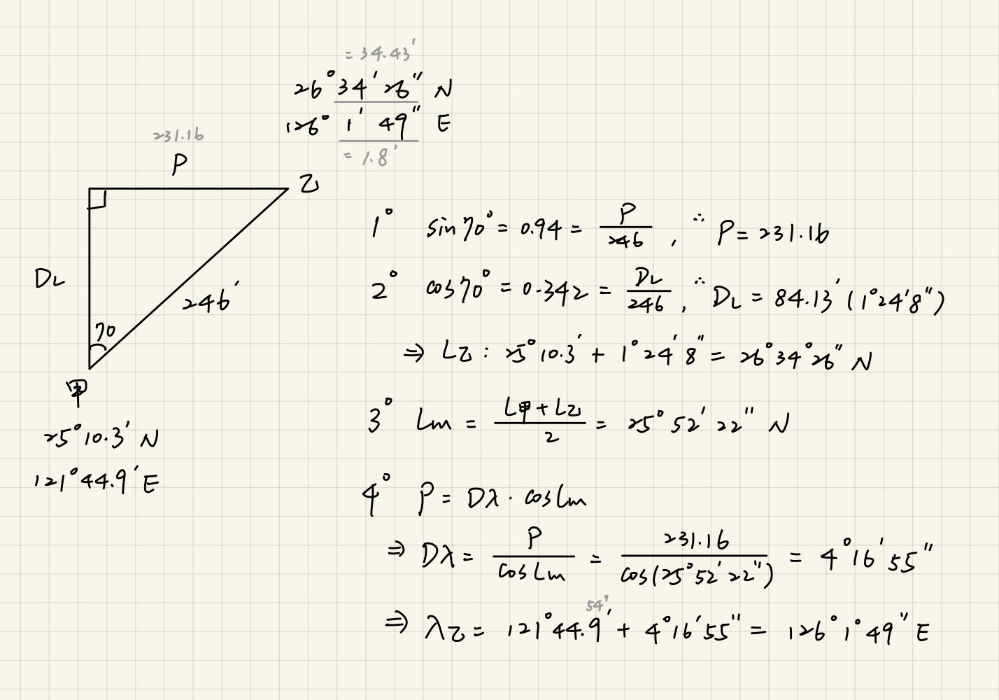
32. 某船由甲地(Lat 25°10.3'N,λ 121°44.9'E)以航向070°航行246浬,求中緯航法之到達點的經緯度為何?
(A) 26°29.4'N;124°53.3'E
(B) 26°29.4'N;125°15.4'E
(C) 26°34.4'N;124°53.5'E
(D) 26°34.4'N;126°01.8'E
答案:登入後查看
統計: A(33), B(103), C(167), D(354), E(0) #2439438
統計: A(33), B(103), C(167), D(354), E(0) #2439438
