阿摩線上測驗
登入
首頁
>
一等船副◆航海學
>
110年 - 110-4 航海人員測驗_一等船副:航海學#104318
> 試題詳解
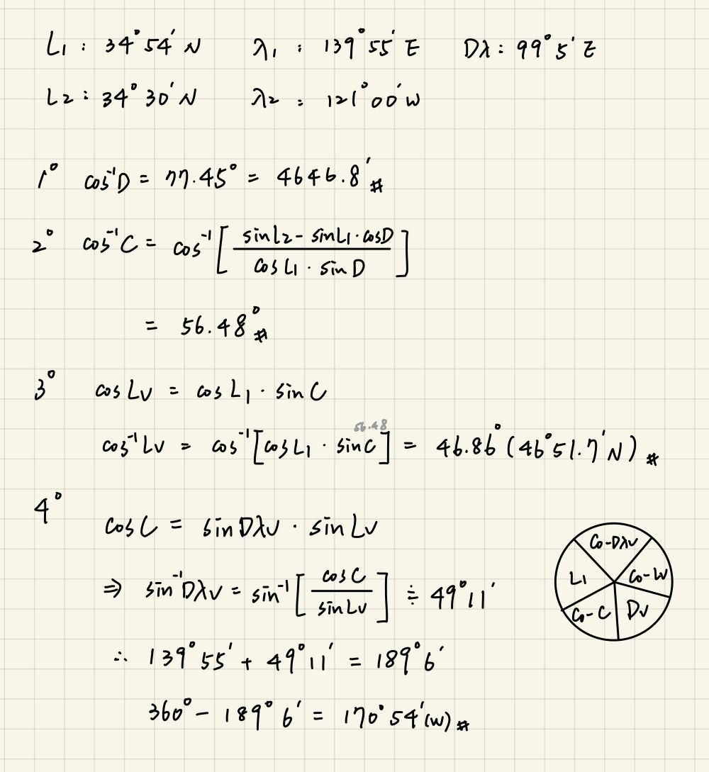
33. 承上題,大圈頂點之緯度為多少?
(A) 46°51.6'N
(B) 48°04.8'N
(C) 51°22.5'N
(D) 54°11.7'N
答案:
登入後查看
統計:
A(390), B(69), C(92), D(16), E(0) #2814718
詳解 (共 2 筆)
ta134798))
B1 · 2023/03/06
#5738621
(共 1 字,隱藏中)
前往觀看
10
0
kebab
B3 · 2024/03/09
#6042188
0
0
私人筆記 (共 1 筆)
JJ
2025/03/01
私人筆記#6755207
未解鎖
(共 0 字,隱藏中)
前往觀看
1
0
相關試題
35. 某輪於7月14日,1030ZT,以18節之船速由甲地26°16.0'N,128°26.0'E啟程,採麥氏航法 趕赴乙地36°28.0'S,163°38.0'E,求甲地啟程時為7月14日之UT為何? (A) 0130 UT (B) 0230 UT (C) 1830 UT (D) 1930 UT
#2814720
36. 承上題,麥氏航法的麥氏航向為何? (A) 028° (B) 062° (C) 152° (D) 208°
#2814721
37. 承上題,甲地至乙地的麥氏距離為多少浬? (A) 3764.0' (B) 3963.1' (C) 4263.0' (D) 4490.6'
#2814722
38. 承上題,至乙地之航行時間為何? (A) 8天18時36分 (B) 9天20時50分 (C) 10天11時25分 (D) 10天22時19分
#2814723
39. 承上題,到達乙地之UT為何? (A) 7月22日,0819 (B) 7月22日,2019 (C) 7月23日,0519 (D) 7月23日,2220
#2814724
40. 承上題,求到達乙地之ZT為何? (A) 7月23日,1119 (B) 7月23日,1919 (C) 7月24日,0920 (D) 7月24日,1719
#2814725
1. 太陽視運動的軌道稱為什麼? (A) 黑道 (B) 白道 (C) 黃道 (D) 紅道
#2814686
2. 平均太陽時角2度,下列何者為正確? (A) 2分鐘 (B) 4分鐘 (C) 8分鐘 (D) 2小時
#2814687
3. 若8月1日ZT 22h00m,某恆星在當地天子午線上;該現象約在同年9月15日ZT何時再度發生 ? (A) 16h-00m (B) 17h-30m (C) 18h-30m (D) 19h-00m
#2814688
4. 截距法的截距,係為哪兩者之差值? (A) 六分儀高度及視高度 (B) 觀測高度及視高度 (C) 六分儀高度及計算高度 (D) 觀測高度及計算高度
#2814689
相關試卷
115年 - 115-1 航海人員測驗_一等船副:航海學#137842
2026 年 · #137842
114年 - 114-4 航海人員測驗_一等船副:航海學#135811
2025 年 · #135811
114年 - 114-3 航海人員測驗_一等船副:航海學#130644
2025 年 · #130644
114年 - 114-2 航海人員測驗_一等船副:航海學#127558
2025 年 · #127558
114年 - 114-1 航海人員測驗_一等船副:航海學#125835
2025 年 · #125835
113年 - 113-4 航海人員測驗_一等船副:航海學#124049
2024 年 · #124049
113年 - 113-3 航海人員測驗_一等船副:航海學#122454
2024 年 · #122454
113年 - 113-2 航海人員測驗_一等船副:航海學#120141
2024 年 · #120141
113年 - 113-1 航海人員測驗_一等船副:航海學#118957
2024 年 · #118957
112年 - 112-4 航海人員測驗_一等船副:航海學#117686
2023 年 · #117686