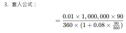
59.一檔 1×4 的遠期利率契約,其約定利率為 7%,名目金額為 100 萬元。假設在契約到期時,市場利率為 8%。在一年360 天、每月為 30 天的條件下,則該遠期利率契約的交割金額約為何?
(A) 2,300 元
(B) 2,451 元
(C) 2,500 元
(D) 2,751 元
答案:登入後查看
統計: A(27), B(647), C(93), D(105), E(0) #3437992
統計: A(27), B(647), C(93), D(105), E(0) #3437992
詳解 (共 1 筆)
#6479328
-
約定利率(合約利率)= 7% 年利率
-
市場利率(實際利率)= 8% 年利率
-
名目金額 = 1,000,000 元
-
合約期限:1×4 表示從第1個月到第4個月,即3個月期限
-
一年360天,每月30天



ㅤㅤ
ㅤㅤ
11
0