阿摩線上測驗
登入
首頁
>
藥物化學與生藥學
>
91年 - 91 專技高考_藥師:藥物化學與生藥學#10616
> 試題詳解
試題詳解
試卷:
91年 - 91 專技高考_藥師:藥物化學與生藥學#10616 |
科目:
藥物化學與生藥學
試卷資訊
試卷名稱:
91年 - 91 專技高考_藥師:藥物化學與生藥學#10616
年份:
91年
科目:
藥物化學與生藥學
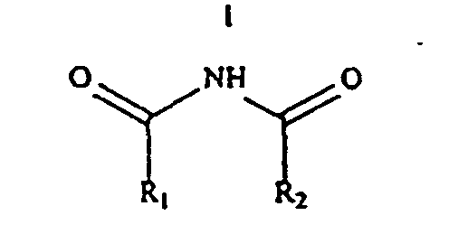
35 抗痙攣藥物一般含有下列何共通結構?
(A) Piperidinediones
(B) Ureide
(C) Pyrrolone
(D) Imidazolone
正確答案:
登入後查看