35.超音波換能器工作頻率為2 MHz時,下列何種組合最為正確?
(A)壓電元件厚度為3.0 mm,其元件傳遞速度為6 mm /μs
(B)壓電元件厚度為1.5 mm,其元件傳遞速度為6 mm /μs
(C)壓電元件厚度為2.0 mm,其元件傳遞速度為2 mm /μs
(D)壓電元件厚度為1.0 mm,其元件傳遞速度為0.5 mm /μs
答案:登入後查看
統計: A(240), B(499), C(67), D(166), E(0) #3283415
統計: A(240), B(499), C(67), D(166), E(0) #3283415
詳解 (共 2 筆)
#6189371
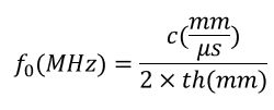
超音波探頭工作頻率和元件厚度、傳遞速度的關係如下:


所以,計算結果只有(B)選項符合
ㅤㅤ
101-2的器材學也有考過這種題目
ㅤㅤ
ㅤㅤ
19
0