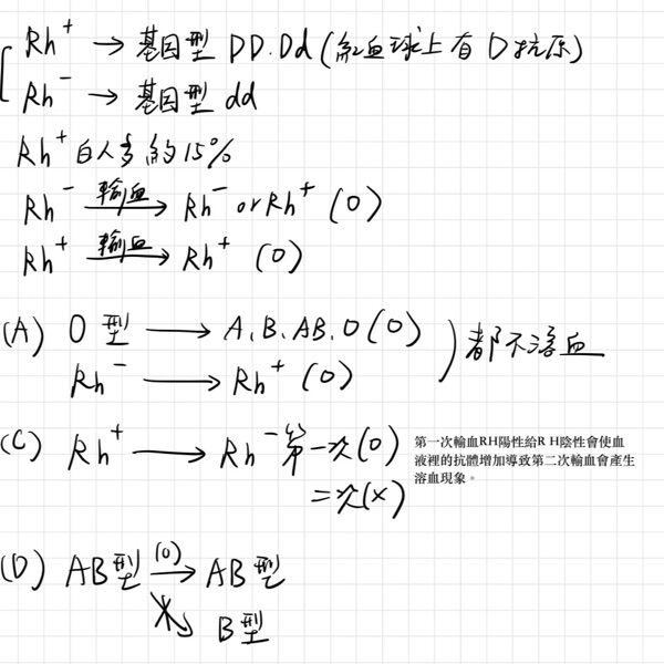
36. 有關人類ABO與Rh血型,取紅血球輸血的過程,下列敘述何者正確?
(A) O型Rh陰性輸血給AB型Rh陽性,第一次輸血不會發生溶血現象,但第二次會
(B) O型Rh陰性輸血給A型Rh陽性,第一次與第二次輸血都不會發生溶血現象
(C) O型Rh陽性輸血給O型Rh陰性,第一次輸血就會發生溶血現象
(D) AB型Rh陽性輸血給B型Rh陰性,第一次輸血不會發生溶血現象,但第二次會
答案:登入後查看
統計: A(31), B(90), C(51), D(29), E(0) #3106252
統計: A(31), B(90), C(51), D(29), E(0) #3106252
