阿摩線上測驗
登入
首頁
>
船舶操作與船上人員管理(概要)
>
107年 - 107年第二次交通部航海人員測驗【301】一等船副【000005】船舶操作與船上人員管理#69318
> 試題詳解
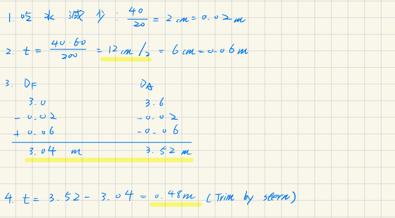
38. 承上題,該船之新艉吃水為多少?
(A) 3.30公尺
(B) 3.46公尺
(C) 3.52公尺
(D) 3.68公尺
答案:
登入後查看
統計:
A(27), B(103), C(366), D(31), E(0) #1801416
詳解 (共 3 筆)
abow
B1 · 2018/06/01
#2827451
TPC=40/20 =2 CM =0.0...
(共 276 字,隱藏中)
前往觀看
13
0
164-1榜首
B2 · 2024/08/26
#6199246
3
0
馬英精
B3 · 2026/02/22
#7302793
0
0
相關試題
1. 滿載原木船為低穩度危險船舶的主要原因為何? (A) 甲板裝載 (B) 大艙裝載 (C) 壓艙水裝載 (D) 油水裝載
#1801379
2. 請問下列對於船體俯仰於水面上所受負荷力之敘述何者錯誤? (A) 衝擊負荷導因於波浪對艏材底部、艏舷緣外傾及其他船體結構所造成的拍擊 (B) 低頻動態負荷是由低頻振動造成的船殼壓力變化且隨時間變化,範圍在數秒至數分之間,其頻率 遠低於船殼振動響應頻率,不會引起船舶結構較大的應力 (C) 高頻動態負荷強度小,且不因共振而放大,不會引起船舶結構較大的應力及變位 (D) 靜態負荷隨船舶總重而改變,例如裝卸貨物、燃油消耗、船體本身改變等
#1801380
3. 請問總噸位150以上之油輪及總噸位400以上非油輪須備有何種油料紀錄簿? (A) 第二部分,貨油/壓艙作業 (B) 第一部分,貨油/壓艙作業 (C) 第二部分,機器空間作業 (D) 第一部分,機器空間作業
#1801381
4. 依據SOLAS公約第九章,國際安全管理章程之主要目的為何? (A) 為確保燃油採買、人員招募和船舶物料的營運成本降低。 (B) 為提供船舶所有人或其代理人、經理人或光船租賃人最佳的經營環境。 (C) 為確保於海上之安全、防止人員傷害或生命喪失及避免海洋環境污染。 (D) 為確保航海人員訓練和發證達到一定的國際標準,亦可作為各港口國管制官員(PSCO)登輪檢查 之參考依據。
#1801382
5. 依據國際安全管理章程規定,下列關於指派人員(DP)的敘述何者錯誤? (A) 其英文全名為”Designed Person” (B) 公司應指派一位或數位在岸人員,能與最高管理階層直接聯繫 (C) 該指派人員的責任與職權應包括對每艘船舶營運安全與防止污染方面予以監控,並提供適當的資 源及岸上支援 (D) 有利於船與岸兩方面組織之各階層均能有效實施與維持安全與環境保護政策
#1801383
6. 根據SOLAS公約規定,客船應每隔多久舉行一次棄船和滅火操演? (A) 一星期 (B) 二星期 (C) 一個月 (D) 三個月
#1801384
7. 圖中所示為一船舶橫剖面圖,請問圖中甲處所指為何? (A) 船舷外傾 (B) Bilge彎部 (C) 龍骨斜度 (D) Bilge彎半徑
#1801385
8. 依MARPOL 73/78國際公約議定書I之規定,下列何者不是報告所應包含的事項? (A) 發生事故之位置 (B) 應急救助措施 (C) 肇事人員名稱 (D) 溢洩物質之數量
#1801386
9. 依MARPOL 73/78國際公約附則II「有毒液體物質殘留液貨之排放管制規則」,液貨艙應優先實 施哪一項作業程序? (A) 預洗 (B) 排放 (C) 抽乾 (D) 分類
#1801387
10. 依我國商港法規定,國際商港之經營由下列何者負責? (A) 港務局 (B) 港務公司 (C) 航港局 (D) 航政局
#1801388
相關試卷
115年 - 115-1 航海人員測驗_一等船副:船舶操作與船上人員管理#137839
2026 年 · #137839
114年 - 114-4 航海人員測驗_一等船副:船舶操作與船上人員管理#135846
2025 年 · #135846
114年 - 114 公務升官等考試_薦任_海巡技術:船舶操作與船上人員管理#133186
2025 年 · #133186
114年 - 114-3 航海人員測驗:一等船副_船舶操作與船上人員管理#130643
2025 年 · #130643
114年 - 114 海岸巡防特種考試_四等_海洋巡護科航海組:船舶操作與船上人員管理概要#130197
2025 年 · #130197
114年 - 114 海岸巡防特種考試_三等_海洋巡護科航海組:船舶操作與船上人員管理#130191
2025 年 · #130191
114年 - 114 一般警察特種考試_四等_水上警察人員航海組:船舶操作與船上人員管理概要#127659
2025 年 · #127659
114年 - 114-2 航海人員測驗_一等船副:船舶操作與船上人員管理#127556
2025 年 · #127556
114年 - 114-1 航海人員測驗_一等船副:船舶操作與船上人員管理#125836
2025 年 · #125836
113年 - 113-1 航海人員測驗_二等船副:船舶操作與船上人員管理概要#126034
2024 年 · #126034