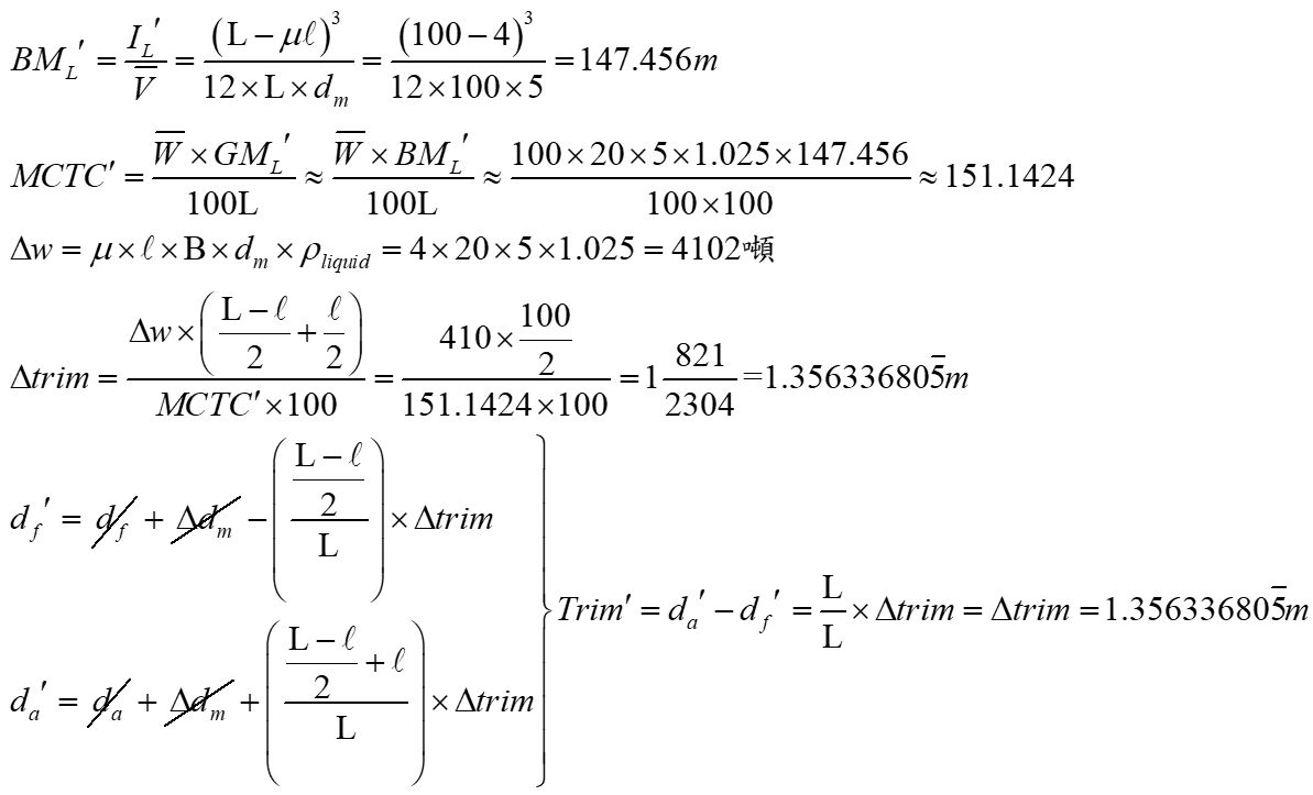
39.該船由船尾算起4 m處有一橫向水密艙壁,若艉艙部分損傷浸水後,則其艏
艉吃水差為多少m?
(A)0.7
(B)1.0
(C)1.3
(D)1.6
答案:登入後查看
統計: A(50), B(72), C(138), D(24), E(0) #781359
統計: A(50), B(72), C(138), D(24), E(0) #781359
