阿摩線上測驗
登入
首頁
>
技檢◆工業用管配管-甲級
>
114年 - 12100 工業用管配管 甲級 工作項目 04:管之加工 1-50(2025/12/16 更新)#135002
> 試題詳解
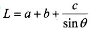
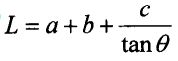
39. 下圖為 AB 雙彎曲管段,於下列長度求算公式中,何者為錯誤?
(A)
(B)
(C)
(D)
。
答案:
登入後查看
統計:
尚無統計資料
相關試題
1. 不銹鋼管之適當熱彎管溫度範圍係在 (A)450-600 (B)650-750 (C)800-900 (D)950-1100 ℃。
#3714849
2. 熱彎管時管內不可充填 (A)高壓氮氣 (B)乾燥細砂 (C)低壓氬氣 (D)高壓氧氣 。
#3714850
3. 不考慮器具使用,小管徑以何種彎管法較為經濟? (A)蝦節管製作 (B)冷彎(C)熱彎 (D)高周波灣管 。
#3714851
4. 受外壓管彎管扁平率一般規定在多少以下? (A)3% (B)5% (C)8% (D)12% 。
#3714852
5. 熱彎管件熱處理後,如仍有尺寸誤差,不可以何種方式矯正 (A)加熱 (B)冷作 (C)銲補 (D)補土、油漆 。
#3714853
6. 鍍鋅鋼管銲口加工時,管端內外應自倒角處起多少範圍內完全除鋅 (A)2mm (B)10mm (C)5cm (D)管半徑深度 。
#3714854
7. 電漿(Plasma)切割機,不可使用氣體為 (A)壓縮空氣 (B)氬氣 (C)氮氣 (D)乙炔氣 。
#3714855
8. 彎製 6B 彎頭,內側管壁若發生縐紋,其相間兩隆起距離為 4 公分,則凹入深度不可超過多少公厘 (A)1.3 (B)2.3 (C)3.3 (D)4.3 。
#3714856
9. 碳鋼管加熱彎曲後如何處理為佳? (A)電扇吹冷 (B)浸入水中急冷 (C)浸入油中急冷 (D)在空氣中徐冷 。
#3714857
10. 捲製大口徑鋼管,應分數次滾壓成型,其製作方式為 (A)捲板機成型法 (B)鍛打法 (C)壓彎法 (D)拉長伸展法 。
#3714858
相關試卷
114年 - 12100 工業用管配管 甲級 工作項目 10:管路試驗 1-21(2025/12/16 更新)#135011
2025 年 · #135011
114年 - 12100 工業用管配管 甲級 工作項目 09:管路保溫 1-21(2025/12/16 更新)#135010
2025 年 · #135010
114年 - 12100 工業用管配管 甲級 工作項目 08:管路防護 1-21(2025/12/16 更新)#135009
2025 年 · #135009
114年 - 12100 工業用管配管 甲級 工作項目 07:管路固定 1-21(2025/12/16 更新)#135008
2025 年 · #135008
114年 - 12100 工業用管配管 甲級 工作項目 06:管路接合 51-76(2025/12/16 更新)#135007
2025 年 · #135007
114年 - 12100 工業用管配管 甲級 工作項目 06:管路接合 1-50(2025/12/16 更新)#135006
2025 年 · #135006
114年 - 12100 工業用管配管 甲級 工作項目 05:管路裝配 51-75(2025/12/16 更新)#135005
2025 年 · #135005
114年 - 12100 工業用管配管 甲級 工作項目 05:管路裝配 1-50(2025/12/16 更新)#135004
2025 年 · #135004
114年 - 12100 工業用管配管 甲級 工作項目 04:管之加工 51-78(2025/12/16 更新)#135003
2025 年 · #135003
114年 - 12100 工業用管配管 甲級 工作項目 04:管之加工 1-50(2025/12/16 更新)#135002
2025 年 · #135002