阿摩線上測驗
登入
首頁
>
藥物化學與生藥學
>
92年 - 92 身心障礙特種考試_三等_公職藥師:藥物化學與生藥學#18158
> 試題詳解
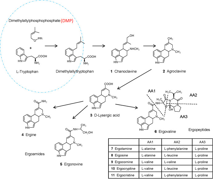
41 生合成ergonovine 有關之前驅物質是:
(A) tyrosine
(B) tryptophan
(C) phenylalanine
(D) ornithine
答案:
登入後查看
統計:
A(16), B(91), C(18), D(13), E(0) #672860
詳解 (共 2 筆)
菜餅
B2 · 2023/03/21
#5755141
0
0
kasado
B1 · 2020/03/05
#3812662
A morphine前驅物C ligni...
(共 26 字,隱藏中)
前往觀看
0
0
相關試題
42 目前商業上提供quinidine 的來源植物是: (A) Cinchona succirubra (B) Cinchona ledgeriana (C) Cinchona calisaya (D) Remijia purdieana
#672861
43 烏頭之基源植物是屬於下列何科? (A) 百合科(Liliaceae) (B) 茜草科(Rubiaceae) (C) 毛茛科(Ranunculaceae) (D) 五加科(Araliaceae)
#672862
44 下列有關生物鹼敘述,何者有誤? (A) Mayer’s 試劑含potassium mercuric iodide (B) Dragendorff’s 試劑含KI 3 (C) 自由鹽基(free form bases)大多可溶於氯仿、乙醚 (D) 大多可與酸形成鹽類而可溶於水
#672863
45 顛茄的基源植物是: (A) Digitalis lanata (B) Cassia angustifolia (C) Atropa belladonna (D) Coptis chinensis
#672864
46 在hyoscyamine 生合成中,其tropine 雙環部分結構的前驅體(Precursor)為: (A) Phenylalaine + Acetyl CoA (B) Aspartic acid + Acetyl CoA (C) Ornithine + Nicotinyl CoA (D) Ornithine + Acetyl CoA
#672865
47 下列生藥學名及科名之配對何者錯誤? (A) Physostigma venenosum-Fabaceae (B) Catharanthus roseus-Rubiaceae (C) Rauvolfia serpentina-Apocynaceae (D) Papaver somniferum-Papaveraceae
#672866
48 下列何者之藥用部位不正確? (A) Nux vomica-種子 (B) Physostigma-種子 (C) Rauvolfia serpentina-根 (D) Catharanthus-花
#672867
49 下列何種生藥,含有caffeine? (A) Guarana (B) Opium (C) Cinchona (D) Catharanthus
#672868
50 下列何者不是自Opium 分離之生物鹼? (A) morphine (B) codeine (C) diacetylmorphine (D) papaverine
#672869
51 下列有關箭毒素(tubocurarine chloride)的敘述,何者有誤? (A) 主要植物基源來自馬錢科 (B) 屬於bis-benzylisoquinoline 類 (C) 其效價測定係採用貓的垂頭試驗 (D) 可作為重症肌無力症(myasthenia gravis)的診斷劑
#672870
相關試卷
97年 - 97-1 專技高考_藥師:藥物化學與生藥學#10040
2008 年 · #10040
96年 - 96 專利商標審查特種考試_三等_藥事:藥物化學與生藥學#50546
2007 年 · #50546
96年 - 96-1 專技高考_藥師:藥物化學與生藥學#10044
2007 年 · #10044
96年 - 96-2 專技高考_藥師:藥物化學與生藥學#10042
2007 年 · #10042
95年 - 95-2 專技高考_藥師:藥物化學與生藥學#9981
2006 年 · #9981
95年 - 95-1 專技高考_藥師:藥物化學與生藥學#9945
2006 年 · #9945
94年 - 94-2 高等考試_三級_公職藥師:藥物化學與生藥學#17578
2005 年 · #17578
94年 - 94-1 高等考試_三級_公職藥師:專業知識測驗(藥物化學與生藥學、藥物分析)#17577
2005 年 · #17577
94年 - 94-2 專技高考_藥師:藥物化學與生藥學#11035
2005 年 · #11035
94年 - 94-1 專技高考_藥師:藥物化學與生藥學#10937
2005 年 · #10937