阿摩線上測驗
登入
首頁
>
台電◆電工機械
>
109年 - 109 台灣電力公司_新進僱用人員甄試:電工機械#86436
> 試題詳解
試題詳解
試卷:
109年 - 109 台灣電力公司_新進僱用人員甄試:電工機械#86436 |
科目:
台電◆電工機械
試卷資訊
試卷名稱:
109年 - 109 台灣電力公司_新進僱用人員甄試:電工機械#86436
年份:
109年
科目:
台電◆電工機械
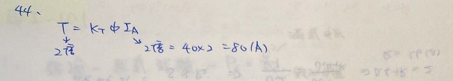
44.某直流分激式電動機,當電樞電流40A時,轉速為1000rpm,若負載轉矩加倍,則電樞電流應為多少安培( A )?
(A)60
(B)80
(C)180
(D)240
正確答案:
登入後查看
詳解 (共 2 筆)
一千
B1 · 2020/06/02
推薦的詳解#4028200
未解鎖
轉距 = k * (磁場) * Ia...
(共 64 字,隱藏中)
前往觀看
4
0
紅茶
B2 · 2020/06/03
推薦的詳解#4030221
未解鎖
T與Ia成正比T'/T=Ia'/Ia2T...
(共 38 字,隱藏中)
前往觀看
2
0
私人筆記 (共 1 筆)
史迪奇
2024/03/10
私人筆記#5810012
未解鎖
僅供參考~
(共 5 字,隱藏中)
前往觀看
3
0