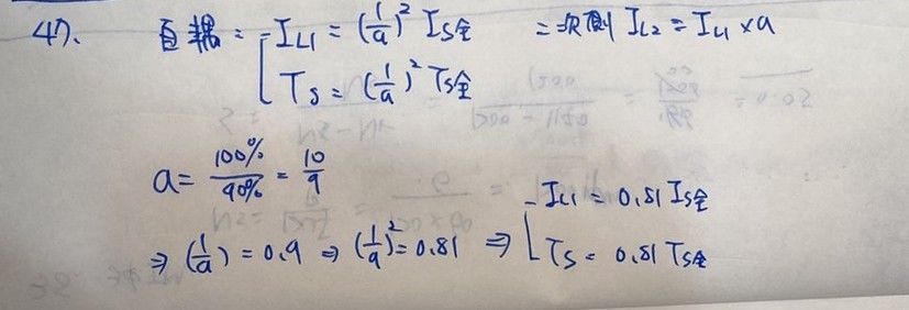
47 三相感應電動機起動時,利用補償器 ( 自耦變壓器 ) 予以降壓,當電壓降至全壓之 90%
時,則一次線路起動電流與轉矩分別變為全壓起動時的多少?
(A) 81 % 、 81 %
(B) 90 % 、 90 %
(C) 81 % 、 90 %
(D) 90 % 、 81 %
答案:登入後查看
統計: A(311), B(25), C(47), D(113), E(0) #1917527
統計: A(311), B(25), C(47), D(113), E(0) #1917527
一起加油喔!
