阿摩線上測驗
登入
首頁
>
眼鏡光學概要
>
109年 - 109-1 相當專技普考_驗光生:眼鏡光學概要#86728
> 試題詳解
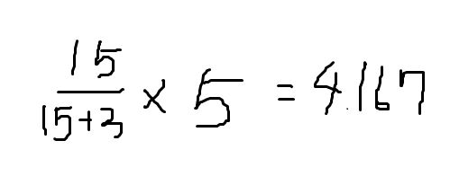
49 若一患者配戴 5
Δ
基底向上稜鏡,在距離物體 15 cm,則患者的眼睛旋轉中心為 30 mm,此稜鏡有效度數 為何?
(A) 4.17
Δ
(B) 2.5
Δ
(C) 4.52
Δ
(D) 3.5
Δ
答案:
登入後查看
統計:
A(92), B(56), C(56), D(38), E(0) #2341941
詳解 (共 2 筆)
formosa.peter1992
B1 · 2021/07/15
#4907378
視遠物,遠球旋轉等於稜鏡 視近物,眼球...
(共 209 字,隱藏中)
前往觀看
10
0
yu邀請碼165231
B2 · 2025/07/23
#6563956
0
1
相關試題
1 眼睛的調節狀態(accommodation)產生的機轉為何? (A)睫狀肌收縮 (B)水晶體厚度減少 (C)眼球全屈光力減少 (D)角膜屈光力增加
#2341893
2 有關近視眼的敘述,下列何者錯誤? (A)近視眼成因可能是水晶體焦距太短 (B)近視眼成因可能是眼球太長 (C)近視眼情況是遠處物體成像在視網膜之後方 (D)近視眼矯正是配戴凹透鏡
#2341894
3 遠點為 1 m 的近視眼,若已經戴上正確矯正度數的隱形眼鏡後,又再需要看清楚眼前 50 cm 的物件,所 需要使用的調節力為多少? (A) 0.5 D (B) 1 D (C) 2 D (D) 3 D
#2341895
4 有關散光的敘述,下列何者正確? (A)規則性散光是指兩個主要徑軸(meridians)互相垂直 (B)不規則性散光是指散光軸不在 0,90 度上 (C)不規則性散光是指散光軸在 45,135 度上 (D)規則性散光是指兩個主要光軸互相夾角為 45 度
#2341896
5 一個人站在平面鏡之前,此平面鏡只有此人身高的一半並垂直置於地上,有關此人在平面鏡之成像的敘 述,下列何者錯誤? (A)為原來身高的一半大小 (B)位於鏡後,其與鏡面之距離等於物體與鏡面之距離 (C)為正立 (D)為虛像
#2341897
6 一物體的成像為正立放大的虛像,此物體在凸透鏡前的位置為何? (A)在凸透鏡焦點之內 (B)在凸透鏡一倍及兩倍焦點之內 (C)在凸透鏡兩倍焦點上 (D)在凸透鏡前兩倍焦距外
#2341898
7 受檢者驗光結果為 plano/-1.50DC×090,而散光是由角膜引起的話,下列敘述何者正確? (A)角膜水平方向比較平坦,在視網膜上形成一條水平橫向焦線,在視網膜之後形成一條垂直豎立焦線 (B)角膜垂直方向比較平坦,在視網膜上形成一條水平橫向焦線,在視網膜之前形成一條垂直豎立焦線 (C)角膜水平方向比較平坦,在視網膜之前形成一條垂直豎立焦線,在視網膜上形成一條水平橫向焦線 (D)角膜垂直方向比較平坦,在視網膜上形成一條垂直豎立焦線,在視網膜之後形成一條水平橫向焦線
#2341899
8 關於鏡片成像大小的敘述,下列何者正確? (A)近視眼鏡片有放大影像的效果 (B)遠視眼鏡片有放大影像的效果 (C)透鏡鏡片放大縮小影像的效果與度數無關 (D)透鏡鏡片放大縮小影像的效果與前表面屈光度數無關
#2341900
9 若一患者的屈光不正藉由透鏡來矯正,其處方為 -3.00DS/-5.00DC×180,則患者眼球的屈光不正是屬於 下列那一種類型? (A)順規(with-the-rule)混合散光 (B)順規複合近視散光 (C)逆規(against-the-rule)混合散光 (D)逆規複合近視散光
#2341901
10 有關紅綠雙色檢查(duochrome test)之敘述,下列何者錯誤? (A)紅綠雙色檢查的原理是色像差(chromatic aberration) (B)色弱患者仍可以此方式確認驗光度數 (C)白內障患者看紅色背景上的視標可能比較清楚 (D)如受試者看綠色背景上的視標比較清楚,應加上負透鏡矯正之
#2341902
相關試卷
114年 - 114 專技普考_驗光生:眼鏡光學概要#129103
2025 年 · #129103
113年 - 113 專技普考_驗光生:眼鏡光學概要#121771
2024 年 · #121771
112年 - 112 專技普考_驗光生:眼鏡光學概要#116005
2023 年 · #116005
111年 - 111 專技普考_驗光生:眼鏡光學概要#109947
2022 年 · #109947
110年 - 110 專技普考_驗光生:眼鏡光學概要#100613
2021 年 · #100613
109年 - 109-2 相當專技普考_驗光生:眼鏡光學概要#93152
2020 年 · #93152
109年 - 109 專技普考_驗光生:眼鏡光學概要#89521
2020 年 · #89521
109年 - 109-1 相當專技普考_驗光生:眼鏡光學概要#86728
2020 年 · #86728
108年 - 108 專技普考_驗光生:眼鏡光學概要#78320
2019 年 · #78320
108年 - 108 相當專技普考_驗光生:眼鏡光學概要#76668
2019 年 · #76668