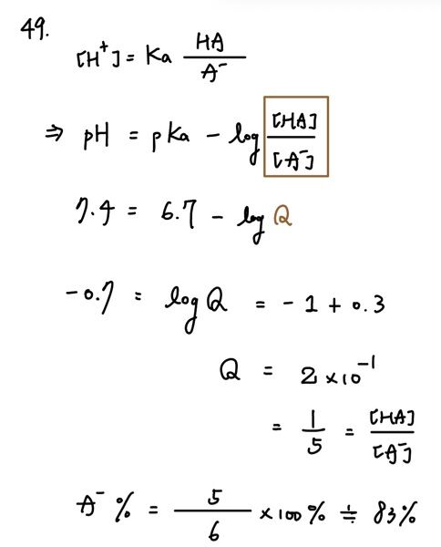
49. 甲狀腺素(L-thyroxine, pKa = 6.7)於生理之 pH 值中,約有多少百分比為離子態(ionized)?
(A) 10%
(B) 30%
(C) 70%
(D) 90%
答案:登入後查看
統計: A(37), B(63), C(121), D(293), E(0) #2751854
統計: A(37), B(63), C(121), D(293), E(0) #2751854
詳解 (共 5 筆)
#5600900
25
1
#7319178

2
0