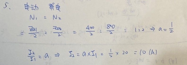
5.一電動發電機,若電動機導體400根,且發電機導體800根均為疊繞,今損失不計,若輸入電壓60V及輸入電流20A,則輸出電流為多少安培( A )?
(A)20
(B)10
(C)5
(D)1
答案:登入後查看
統計: A(52), B(237), C(33), D(19), E(0) #2333848
統計: A(52), B(237), C(33), D(19), E(0) #2333848
詳解 (共 4 筆)
#4581814
輸入M, 輸出G,
a=N1/N2=V1/V2=I2/I1
a=400/800=1/2
1/2=60/V2, V2=120V
1/2=I2/20, I2=10A
3
1
#5388464
所以可以解讀成成功率不變,但因電壓上升,所以電流下降,這樣解讀不知是否正確
2
0
#5149481

0
1