6 男士領帶店當價格為每條領帶 5 美元,每天平均售出 30 條領帶。同一家商店當價格是每條領帶
3 美元,每天賣出的領帶 60 條。在這種情況下,使用中點法計算需求的價格彈性絕對值是:
(A)大於零但小於 1
(B)等於 1
(C)大於 1 但小於 3
(D)大於 3
答案:登入後查看
統計: A(64), B(13), C(341), D(10), E(0) #2064355
統計: A(64), B(13), C(341), D(10), E(0) #2064355
詳解 (共 2 筆)
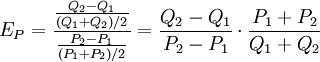
#3598142
中點法=弧彈性

利用上式解
E=4/3
10
0