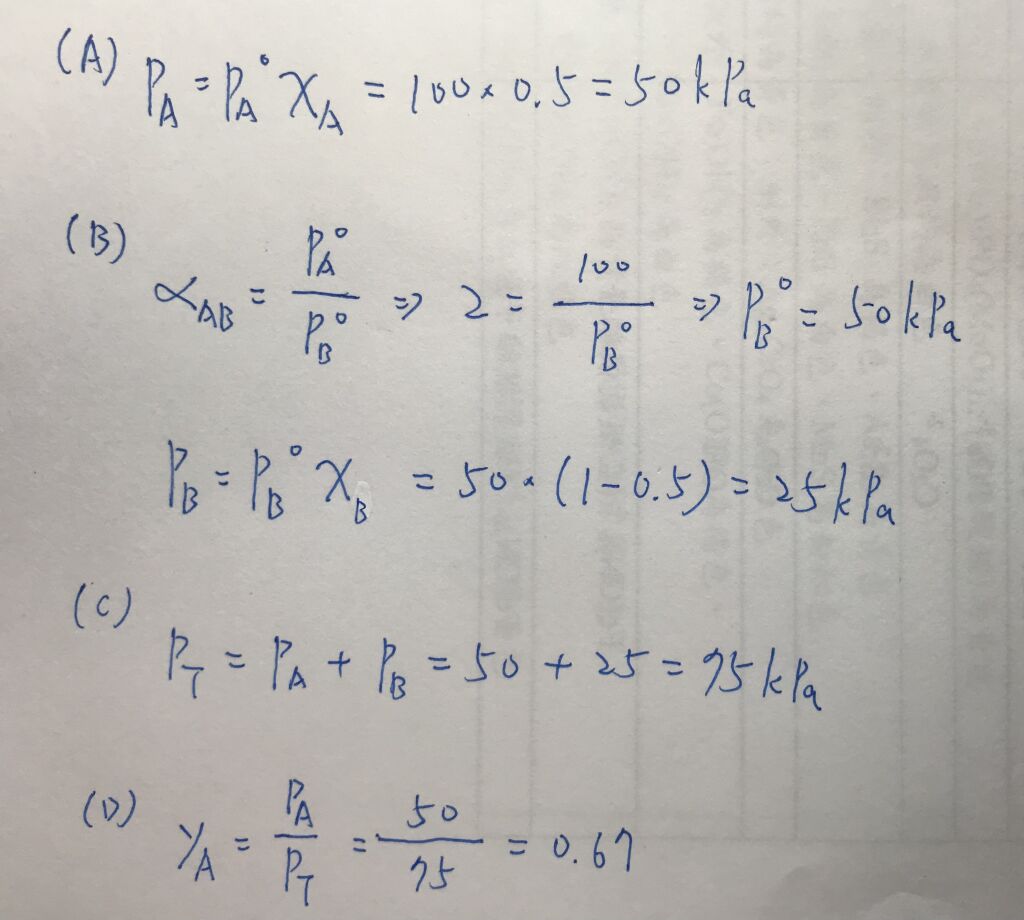
6. 在某溫度下,AB理想溶液中A對B的相對揮發度
為2,A的飽和蒸氣壓為100kPa,
若溶液中A的莫耳分率為0.5,則在此溫度下,有關於此兩成份混合物氣液平衡關係的
描述,下列何者錯誤?
(A)A的氣相分壓為50kPa
(B)B的氣相分壓為50kPa
(C)總
蒸氣壓為74.6kPa
(D)A在氣相的莫耳分率為0.67。
答案:登入後查看
統計: A(0), B(8), C(0), D(0), E(0) #2923447
統計: A(0), B(8), C(0), D(0), E(0) #2923447
詳解 (共 1 筆)
#5686728

0
0